制备复合液滴的微尺度流动方法(上)
摘 要 微尺度流动能够一步到位地制备不同结构和功能、尺寸在微米量级的复合液滴。文章回顾了几种常见的基于复合液滴的微尺度流动方法包括同轴电雾化、复合流动聚焦、微流控芯片、玻璃微毛细管等并对各种技术的原理和进展进行了简要概括和分析。在这类流动中不同种类的流体在一定的几何结构通道或外力场作用下平稳地拉伸成微细射流并最终破碎成复合液滴。在同轴电雾化和复合流动聚焦技术中从毛细管流出的流体能够形成稳定的锥?射流结构当外力作用改变时能够形成不同的流动模式。在微流控芯片和玻璃微毛细管技术中流体被约束在固定管道内不同管道构型下能够形成不同的流动形态。这些方法都采用纯物理机理过程稳定、易于操作制备的复合液滴粒径可控单分散性好微观结构可设计在科学研究和工程实际中具有重要的应用价值。
引 言
复合微液滴是一种具有复杂结构、大小在微米尺度的液滴包括双层壳核结构微液滴、多层复合结构微液滴、 Janus 微液滴、同核/异核结构微液滴以及异核Janus结构微液滴等不同类别在科学研究和工程实际中具有重要的应用价值其制备方法也受到越来越多的关注。壳核结构微液滴是一类球状或类球状体外层称为囊膜壁壳内层称为囊芯物包埋材料分散或溶解在骨架基质之中常用的囊膜壁壳材料有高分子、脂质体等如图1(a)所示。多层结构微液滴一般具有多层壳核结构涉及了多种囊膜壁壳材料或囊芯物材料如图1(b)所示。Janus微液滴一般是由左右分布不同组分材料组成的微液滴且表现出不同的化学或物理特性如图1(c)所示。同核/异核结构微液滴是指具有壳核结构、囊芯物由多个相同材料或不同材料组成的复合微液滴分别如图1(d)和(e)所示。异核Janus微液滴结构更复杂是指结合了壳核结构微液滴以及Janus微液滴特征而形成的一种新的复合微液滴 如图1(f)所示。
图 1 复合微液滴的几种典型结构
由于复合微液滴具有可控复杂型结构所以这类微液滴在材料科学、生物医学、食品、化学等领域中具有很大的应用潜力。比如在医学和药学中将药物或造影剂封装到不同囊材的微纳胶囊中能够满足各种临床需求包括病症的靶向治疗、药物的控缓释(控释以及缓释)、多功能造影剂、保持药物的活性。在食品工业中微纳胶囊亦被广泛使用以达到?;っ舾械纳锘钚晕镏?、掩盖不良气味或味道、提高其生物利用度固定食品加工中的细胞或酶。在农业领域将农药溶液雾化成单分散微液滴使农药覆盖更为均匀提高农药的效率而将农药做成微囊悬浮剂则可以?;づ┮┯行С煞执锏脚┮┑目鼗菏托Ч跎偈┮┐问档突肪澄廴?/span>。
此外微纳米量级的液滴、颗粒和胶囊对增材制造、细胞工程、组织工程、再生医学等国际重大需求及其涉及的新兴交叉学科领域也是至关重要的。目前制备复合微液滴的技术可以分为自下而上和自上而下两大类。自下而上的制备技术主要是化学或物理化学方法也就是通过原子力、Van derWaals力或者毛细力使微观尺度的物质形成具有一定功能形状或结构的产物这是最早发展起来的制备微液滴的技术也是目前使用最为广泛的技术。相对应地自上而下的制备技术主要是物理方法也就是利用物理技术和材料的物理特性将材料离散至微纳米尺度颗粒的制备方法。从微液滴制备技术的发展分类又可以分为以乳化法、相分离法、化学自组装法为代表的传统制备技术以及近些年发展起来的以电雾化技术、流动聚焦技术、微流控技术、玻璃微毛细管技术等为代表的新型微载体制备技术。这些新型制备技术不仅可以得到单分散性非常好的复合微液滴 还可以提高囊芯物的包裹率从而提高材料的利用率。
本文将回顾几种常见的基于复合液滴的微尺度流动涉及了同轴电雾化、复合流动聚焦以及具有复杂结构的微流控芯片、玻璃微毛细管等技术并对几种技术的原理和进展进行简要概述。这些技术的相似之处在于在一定的几何结构通道或外力场作用下两种或多种液体能够平稳地拉伸成微细射流并最终破碎成复合微液滴。这些方法都采用纯物理机理能够制备不同结构和形貌的复合微液滴过程稳定、易于操作产物粒径可控、单分散性好。然而这几种技术因装置结构或外力场的不同相互之间也存在一定的差异。由于同轴或多轴等复合结构的装置都是从单轴结构衍生而来我们将从相应的单轴技术开始逐一进行介绍并过渡到同轴或多轴技术.
1 同轴电雾化技术
电雾化是一种使液体在高压电场作用下雾化的方法其基本原理是从毛细针管流出的液体受到高压静电场力的作用在管口形成半月形界面即“Taylor 锥” 并在锥形顶端形成一股微细射流该射流由于不稳定性在距离管口一定距离处破碎成单分散性的液滴。电雾化技术根据使用针管类型可以分为单轴电雾化和同轴电雾化继而又发展出更复杂的多轴电雾化以及复合型电雾化等。电雾化技术设备简单、成本低廉产物单分散性高、粒径小可应用在质谱仪、乳剂制备、超微气雾剂制备、汽油喷洒、微包裹和喷墨打印等领域。
早在 1745 年电雾化这种现象就被Bose 发现。1882年Rayleigh 利用带电液体研究了电雾化技术的不稳定性。100多年前Zeleny研究了带电液体表面放电现象而Taylor则第一个观察到锥形的形成因此带电锥体也被命名为“ Taylor 锥”。简易的单轴电雾化装置系统主要由不锈钢针管、接收板、微量注射泵、注射器和高压直流电源等组成。高压直流电源一方面是使溶液带电另一方面则是给流体运动提供电场作用。通过改变施加的电场强度和液体的流速可以得到单轴电雾化的几种模式,主要包括滴模式和射流模式。滴模式根据不同的性质又可以分为滴落模式、微液滴模式、纺锤模式以及多纺锤模式而射流模式根据射流的稳定性可以分为锥?射流模式、摆动模式、旋转模式和多射流模式。在实验中我们通常利用的是稳定的锥?射流模式因为该模式下可以产生高单分散性的微液滴.
同轴电雾化就是将单轴电雾化中的针管换成同轴针管其由内外两层流体组成实验装置系统如图2(a)所示。在 2002 年 Science 杂志首次报道了利用同轴电雾化技术制备油包水的微胶囊并在实验过程中得到了稳定的同轴锥?射流结构射流最终会破裂成单一分散的油包水微液滴如图2(b)所示。通过改变电压流量等参数可以制备得到粒径在 0.15~10 μm 之间的油包水微液滴。在同轴电雾化中通过改变外部电压和液体流速能够观察到4种流动模式分别是滴模式、锥振动模式、稳定锥射流模式和多射流模式如图2(c)所示。在稳定锥射流模式下利用同轴电雾化技术能够制备得到均匀的载药微胶囊药物包裹率接近 100% 如图 2(d)所示.



图 2 同轴电雾化技术
在同轴电雾化中施加的电场强度和内外层液体的流量速度是最主要过程参数直接影响锥形和射流的稳定性、复合微液滴的大小以及微胶囊的壳厚等特性,其他影响因素还包括内外层液体的介电常数、电导率、表面/界面张力和黏度等物理属性。因此,并不是所有的材料都可以适用。
可以看出电雾化技术制备得到的微纳米载体单分散性好、粒径可控、包裹率和载药率高。另外电雾化技术实验系统简单成本非常低通过调节电压和流速可以制备得到纳米颗粒.
近年来随着微尺度流动及其交叉研究的推进一步到位包裹多种不同囊芯材料的多轴电雾化也被提出并用于制备复合微液滴。如图3( a)所示利用3层同轴针头进行电雾化实验能够制备出同时包裹不同药物或造影剂的多层微胶囊。复合型电雾化技术是利用具有特殊结构的针管进行电雾化实验比如利用并列的两个针头能够制备得到一半显绿色荧光、 一半显红色荧光的Janus微球如图3(b)所示。利用复合型电雾化技术还能够得到“一包一”、“一包二”、“一包三”和“一包四”等复合型微载体如图3(c)所示.


图 3 多轴电雾化技术
2 复合流动聚焦技术
流动聚焦技术是在 1998 年第一次被提出国际上 Ga?án?Calvo 教授课题组、 国内司廷教授课题组分别开展了大量研究工作目前已发展成为微尺度流动技术中的重要组成部分。其基本原理是毛细管口正对一个小孔液体从毛细管中流出并在高速穿过小孔的驱动流体作用下被聚焦从而形成锥射流结构最后射流因界面上扰动的发展而破碎成微液滴。根据使用针管结构的不同可以将流动聚焦技术简单分为单轴流动聚焦和复合流动聚焦。根据驱动流体的不同又可以将之分为气体驱动和液体驱动两种模式。图4给出了几种不同结构流动聚焦及典型的稳定锥形和收集液滴的图像。流动聚焦技术具有简单易操作、易集成、 材料适用范围广及生产效率高等优点在生物医学、材料科学、工农业等领域有着非常重要的应用前景.
近年来将流动聚焦和电雾化相结合可以产生电流动聚焦技术而将流动聚焦原理应用于微流控芯片或玻璃微毛细管装置中可以产生微流控流动聚焦技术.
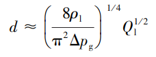
在气体驱动的单轴流动聚焦中射流直径 d 的尺度律关系在1阶近似下满足以下关系:
其中ρl为液体的密度Δpg为气体的压力差Ql为液体流量速度。结果表明射流直径与结构参数、液体和气体的黏性以及液?气之间的表面张力系数无关。进一步地可以通过实验定量研究液体流量速度、气体压力差等参数对流动聚焦的影响能够给出不同参数影响射流破碎的实验规律。比如随着气体的压力差增大流动聚焦产生的颗粒由单分散性向多分散性逐渐转变射流也由轴对称模式向非轴对称模式转变。本课题组进一步研究了气体驱动流动聚焦的内在规律利用自行设计的流动聚焦装置实验得到流动聚焦的6种模式锥振动模式、锥粘连模式、螺旋射流模式、共存射流模式、轴对称射流模式以及滴模式通过实验找到了各种模式之间的转换边界并利用不稳定性理论分析给出了模式之间的转换边界与实验结果相对应。液体驱动流动聚焦是以液体作为外相来驱动内层液体或气体。Ga?án?Calvo课题组使用超纯水来驱动硅油研究了液体驱动流动聚焦中滴模式和射流模式两种模式之间的转变规律在固定驱动流量不变的前提下随着内层油相流量的逐渐变大流动聚焦也由滴模式逐渐变为射流模式在同等模式下微液滴的粒径随着内层流量的增大而增大。单轴流动聚焦结构最简单能够制备不同种类的微液滴和微颗粒.

图 4 不同结构流动聚焦的稳定锥形和收集的液滴
同轴流动聚焦技术使用两根同轴嵌套的毛细管可以实现“一包一”或“一包多”复合微液滴的高效制备。Martín?Banderas等利用气体驱动同轴流动聚焦技术制备得到光固化材料包裹蓝色墨水的微胶囊由于内层溶液相对于外层溶液先破碎从而形成了“一包多” 的复合型微胶囊结构。Zhu等利用液体驱动同轴流动聚焦技术制备得到了包裹有吲哚菁绿( ICG)水溶液的脂质体微胶囊并给出双层微胶囊粒径公式D的尺度律关系
Qo与Qf分别为内层流量、外层流量以及驱动液流量Dorif为小孔直径α为与结构参数相关的常数。上述公式表明在相同实验装置情况下粒径大小主要由内外层和驱动液的流量以及小孔直径决定而与其他参数无关。
更复杂的复合流动聚焦是利用复合针头来实现的目前这方面的报道相对较少实验也存在较大难度。Si等利用气体驱动三轴流动聚焦制备得到了3层微胶囊如图4(c)所示并研究了实验装置参数对锥形的影响。在气体驱动同轴流动聚焦的基础上Si等进一步提出“ 一包二”形式的复合流动聚焦 并制备了“一包二”的海藻酸钠微胶囊如图4(d)所示。Wu等在液驱同轴的基础上进行拓展提出了多核Janus微胶囊的制备方法如图4(e)所示并通过将细胞混合在两种内外层海藻酸钠溶液中制备了载4种不同细胞的Janus微胶囊在3D细胞共培养方面做了初步演示。进一步地Wu等还研究了半月形Janus微胶囊的形成方法并首次制备了非球形的复合微胶囊。
免责声明:文章来源网络 以传播知识、有益学习和研究为宗旨。 转载仅供参考学习及传递有用信息,版权归原作者所有,如侵犯权益,请联系删除。
标签:   液滴微流控
