栖凤楼论坛信息社区,良家论坛一品楼,一品阁楼论坛,万花楼论坛网

首页 > 技术资讯 > 行业咨讯

清华大学化学工程系:微反应器内的有机合成前沿进展下

3 重氮化反应与重氮偶合反应

偶氮化合物已被用于许多领域,如材料、绘画、生物制药研究、化妆品和油墨工业等。目前合成偶氮化合物的主要工艺是重氮化-重氮偶合串联反应。重氮化反应是指芳香族伯胺与亚硝酸作用生成重氮盐。重氮化反应应用广泛的原因是重氮化反应合成的重氮盐中间体反应活性较高,可以在不同的反应条件下继续合成其他化合物。例如,重氮盐中间体可以进行水解生成酚类化合物,可以被亲核试剂攻击合成偶氮化合物,也可以与卤素原子发生取代生成芳香族氯化物、芳香族氟化物、芳香族碘化物等。而重氮盐生成偶氮化合物的重氮偶合反应,则是指重氮盐进一步与芳胺、酚类发生氮氮间的偶联产生氮氮双键。目前,重氮化/重氮偶合反应的反应器还是以反应釜为主。重氮盐中间体因其活泼性而用途广泛,但同样由于其活泼性,重氮盐具有热不稳定和冲击敏感的特点,当温度升高时可能会导致重氮化/偶合反应失控出现爆炸等危险情况。因此,出于安全考虑,无论是生成重氮盐的重氮化反应还是以重氮盐为反应物的重氮偶合反应,反应过程的稳定可控都相当重要。

强换热能力和高稳定性的微反应平台为解决上述安全问题和开发重氮化/重氮偶合反应新工艺提供了契机。在重氮化/重氮偶合反应中引入微反应器作为反应设备,既可以降低由于传热性能不足导致的潜在风险,又能通过强化混合效果带来更好的产品性能。目前,已经有研究者针对微反应器内的多类重氮化/重氮偶合反应进行了研究。

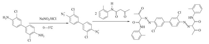
颜料红146是一种典型的水性偶氮颜料,被广泛用于印刷色浆、水性涂料和油墨颜料。Wang等以3-氨基-苯胺(KD)和 N-(4-氯-2,5-二甲氧基苯基)-3-羟基-2-萘酰胺(AS-LC)为原料通过重氮偶合反应高效合成了该种偶氮颜料,反应方程式与设备的示意图见图5。结合实验结果与CFD模拟,研究者认为微反应器中的两相混合效果远远强于釜式反应器是提升产品均匀性和转化率高的主要原因。通过调控温度和反应液浓度,在反应温度为25℃,停留时间为40 s时,KD可达到99.50%以上的转化率,且产品纯度超过98%。在各类偶氮颜料中,黄色偶氮颜料常常用在印刷过程的最后一个步骤,需要高透明度和纯度。Wang等借助微反应器对常用颜料黄14生产过程中的重氮化/重氮偶合过程进行了系统研究和条件优化,制备得到的产品纯度可以达到90%且颗粒分布均匀,反应的过程如图6所示。除了用于合成偶氮染颜料,微反应器对于其他各类的重氮化/偶合反应过程也有显著的优化效果。Jiang等使用串联的微反应器平台实现了4-硝基苯胺(PNA)重氮化—结晶—偶合三步连续过程生成4-硝基联苯(4-NBP),在最优条件下总产品收率可达80%,反应流程如图7所示。上述研究表明,对于均相或非均相的各类重氮化/重氮偶合反应过程,微反应器技术都能大大提升反应过程的安全性和稳定性,在提高偶氮产品关键性能的同时缩短反应所需时间,相比于传统的釜式工艺有明显的优势。

图片1.png 

5 (a)合成颜料红146的偶合反应; (b) 合成颜料红146的微反应系统示意图

图片2.png 

6 颜料黄14合成的重氮化和偶合反应

图片3.png 

7 4-硝基苯胺重氮化/重氮偶合流程图

在重氮化反应的反应动力学方面,Wang等利用微反应器为平台,研究了重要偶氮颜料前体红色基KD的重氮化反应动力学,并给出了流-固耦合的传质-反应模型,实验所采用的设备如图8所示。利用微反应器内停留时间和反应温度准确可调的特性,可通过标定不同温度和停留时间下产生的偶氮颜料的量来计算重氮盐中间体的含量。研究者指出由于微通道内混合过程迅速,反应过程受混合的影响较小,因此可利用微反应器搭建可靠的本征动力学数据测量平台。该研究结果证明微反应器优异的传递特性不但在工艺条件优化方面具有一定的优势,同时在基础动力学数据的准确获取方面也有重要的作用。

图片4.png 

8 红色基KD合成装置示意图

4 烷基化反应

烷基化反应是在酸性催化剂存在下用烷基化剂合成烷基芳香烃的反应,由于其反应过程简单,原料易得,成为了最常见的合成烷基芳香烃的方法。烷基化试剂种类繁多,如烯烃、醇和卤代烷,但由于选择性和反应效率的要求, α-烯烃的使用最为广泛。硫酸是经典的工业化酸性催化剂,已经有研究者针对硫酸催化体系在微反应器中的动力学规律开展研究。而在近年来,由于催化效率高和反应时间短的优势,酸性离子液体作为烷基化反应的催化剂受到关注。相比于传统的硫酸催化剂,离子液体在催化效率方面具有优势,但在实际工艺过程中还存在如下的问题。第一,相比于经典的酸催化剂,离子液体催化的反应体系基础动力学数据不足。反应工艺流程和反应器的设计都需要大量的动力学数据作为支撑,因此需要构建准确快速获得动力学数据的测量平台。第二,离子液体催化的反应体系本征动力学快,传热和混合效率是控制反应速率的重要因素。由于反应速度过快,过程中释放的反应热一旦积累可能导致危险。目前,釜式反应器的传热性能较难满足以离子液体作为催化剂的反应过程,不能充分发挥离子液体的优异催化性能。

微反应器技术可有效解决上述工艺问题。首先,微反应器中的流体高度有序,重复性好,单次反应周期短,是测量动力学数据的良好平台。其次,微反应器优异的传热和混合性能能够最大限度地避免由于过热和混合不均匀带来的烷基化产品均匀度下降或副反应等问题,能充分发挥离子液体优异的催化性能。因此,本课题组针对工业级 α-烯烃的萘烷基化开展了相关工作。Yang等以工业级混合 α-烯烃为原料,离子液体(AlCl 3)为催化剂,进行微反应器内萘烷基化过程的研究,此工作的微反应系统如图9所示。通过调控反应物的相比和温度,停留时间为40 s时即可达到超过99%的原料转化率。研究结果表明,选取内径更小的微混合器,能够在同样的反应条件下达到更强的混合效果,提高反应速率和原料转化率。

图片5.png 

9 连续流系统的示意图

目前,也有研究者利用微反应器研究新型烷基化体系。Wang等以具有交错十字通道的微反应器为平台,探索了酸性咪唑离子液体与H 2SO 4组成的二元酸性催化剂对于异丁烷/1-丁烯反应体系的催化效果。实验结果和模拟结果均证明微反应器中的强化混合效果提升了主反应的选择性。在最优实验条件下,在微反应器中的停留时间为81 s时,即可达到94.2%以上的1-丁烯转化率,产品辛烷值为99.5。对于同一反应过程,釜式反应需耗时10~15 min,得到产品的辛烷值为92~94。

上述研究表明,针对各类烷基化反应过程,微反应器都能强化混合过程,缩短反应时间,提升产品质量。同时,相比于釜式反应器,微反应器也可以更加快速准确地获得新型复杂多元催化剂的催化动力学数据,用于指导反应过程设计。

5 氮氧化反应

氮氧化反应是通过强氧化剂氧化含氮杂环的有机合成反应,此类反应常常由于含氮杂环性质不稳定而有一定的危险性。3-甲基吡啶- N-氧化物是制备2-氯-5-甲基吡啶的重要中间体,可用于合成吡虫啉、啶虫脒等烟碱类杀虫剂,具有重要的商业价值。3-甲基吡啶- N-氧化物的传统生产方法是在半间歇式反应器中由3-甲基吡啶催化氧化制备。但由于3-甲基吡啶强烈的爆炸性,采用间歇技术反应效率和安全性较低。相比于釜式反应器,微反应器技术由于优异的换热能力,可从根源上防止由于浓度和温度分布不均匀而产生的潜在爆炸危险。

基于上述原因,本课题组针对3-甲基吡啶- N-氧化物的合成开展了相关工作。Sang等研究了微反应器内3-甲基吡啶和H 2O 2为原料,MoO 3为催化剂制备3-甲基吡啶- N-氧化物的反应过程,示意图如图10所示。研究者设计了一种半连续循环微反应的新工艺,可以将原料的转化率提升至90%以上,反应时间大大缩短。此外,氮氧化反应已经有商业化的微通道技术。Hamano等使用了一种商业化的玻璃微通道利用氧气或空气氧化2-、3-和4-甲基吡啶合成对应的羧酸。在常温常压连续流动条件下,2-、3-和4-甲基吡啶在氧气或空气中直接氧化成相应的羧酸而不需要任何的金属基催化剂,停留时间只需5 min,所有反应物的转化率都能达到95%以上。该过程所采用的商业化设备示意图如图11所示。

图片6.png 

10 循环微反应器示意图

图片7.png 

11 商业化微反应器示意图

上述研究表明,微反应器对于氮氧化反应有较好的适用性,能够在提升反应安全性的同时加快转化速率,提升产品收率,有良好的商业应用前景。尽管微通道中的传质传热效果好,但部分氮氧化反应的本征动力学过慢,因此必须采用合适的催化剂,加快本征反应速度,才能体现出微通道传递特性的优势。

6 结论与展望

本文综述了微反应器技术对霍夫曼重排、环加成、重氮化和偶合、烷基化、氮氧化等典型“强放热快反应”有机合成反应的应用和研究进展。应用微反应器技术对各类反应进行条件优化和机理探索,不仅能够使得这些典型的危险反应工艺向着绿色、安全、高效和可持续化方向发展,而且能帮助研究者深入了解此类反应的机理,并进一步解决此类反应生产过程中的瓶颈问题。基于目前的研究进展,未来微反应器技术的发展应该在以下几个方面加强研究。

1)反应机理的研究。现有微反应研究主要着眼于反应条件的优化和表观动力学的探究,缺乏对于反应机理和本征动力学的揭示。通过对反应机理和本征动力学的深入研究,可以揭示反应选择性的影响规律以及反应过程强化的优化方向。

2)过程在线分析技术的应用。随着各类检测手段的发展,微反应器内实时、可视化检测手段的应用将促进该技术进一步发展。微反应器可结合在线红外、紫外、拉曼光谱、气质联用等在线检测技术,及时、准确地获取反应信息,显著提高工艺开发的整体效率,还能监控反应进程,实现过程的实时监控。同时,可以利用收集到的数据进行连续反馈与自调控,实现反应过程“自我优化”的效果。

3)新工艺技术工业化的应用基础研究,尤其是微反应装置放大规律的探索。目前,大多数微反应器的工艺研究未能真正投入工业生产,停留在实验室阶段。微反应器经过并联放大和相似放大后,是否能够保留良好的传递和反应性能,还有待进一步研究,其放大后的流动传质与反应规律也需进一步深入探索。

免责声明:文章来源汶网络以传播知识、有益学习和研究为宗旨。 转载仅供参考学习及传递有用信息,版权归原作者所有,如侵犯权益,请联系删除。

 

 



标签:   微反应器