栖凤楼论坛信息社区,良家论坛一品楼,一品阁楼论坛,万花楼论坛网

首页 > 技术资讯 > 技术学院

Y 型微通道两相流内部流动特性下

2 结果与讨论

2.1 Y 型微通道内液液两相流流型特征在正交 T 型微通道中随连续相毛细数 (Cac =ηv/γ,η 和 v 分别是连续相的黏度和速度,γ 为二相介质间的界面张力) 的变化,微液滴的形成过程表现出挤压、滴流和喷射这 3 种不同的机制. 当连续相毛细数值较小时,液滴是在分散相对连续相的流动阻力和其内部表面张力相互作用的情况下形成的. 此时,液滴的形成为挤压机制. 当连续相毛细数不断增大超过某一临界值后,液滴的形成进入滴流机制,此机制下,液滴的形成是液滴内部的表面张力和其所受的剪切力相互作用的结果. 而最新的研究表明在挤压和滴流机制之间,存在着一个明显的过渡机制.

本文验证了在 Y 型微通道下,随连续相毛细数的增长液滴先后经历了挤压、过渡和滴流这 3 种不同的形成机制. 对应不同的机制,可得到不同的流型,而分散相毛细数 (Cad) 的变化对液滴的形成机制没有直接的影响. 在挤压机制下,分散相形成段塞流 (图 3(c)),其液滴长度 L > 2w (w 为主通道的宽度). 在过渡机制下,形成的弹状流液滴呈卵石型 (图3(b)),而滴流机制下的液滴流液滴近似圆球 (图 3(a)).此外通过实验还观察到柱状流 (图 3(d)) 及并行流 (图3(e)). 柱状流为不稳定流型,随着稳定时间延长,此流型会逐渐向稳定流型并行流转变. Y 型微通道内典型流型如图 3 所示,以 Y 型角度为 90? 为例.

1712798470762180.png 

3 高速摄影技术拍摄的 Y 型微通道内液液两相典型流型图(α = 90?)

2.2 液滴破裂过程中两相液体的速度及压力分布

4 为分别利用高速摄影、显微粒子图像测速技术及数值模拟得到的 Y 型微通道内液滴在挤压机制下的破裂过程及对应的连续相速度矢量图,以 Y型角度为 45? 为例. 由于两相液体以一定角度相向交汇,导致连续相液体速度在交汇处大部分发生偏转,剩下一部分液体还保持原来的速度方向. 进入主通道后,连续相速度方向相切于两相界面,随着分散相逐渐进入主通道,连续相速度矢量保持与两相界面相切,直至分散相破裂. 说明 Y 型微通道内分散相液滴的破裂除受到其内部的表面张力外主要受到来自连续相的剪切作用. 由图 4 可知,数值模拟结果与实验结果能够较好吻合,验证了利用数值模拟方法进行微尺度下两相流研究的可靠性. Y 型角度不同,两相液体在交汇处所成角度也存在差异,如图 5所示. 随着 Y 型角度的减小,在交汇处连续相速度方向发生偏转的比例逐渐减小,来自连续相流量的速度矢量在两相交汇处与两相界面所成角度逐渐减小,即来自连续相流量的剪切作用更显著.

1712798489932255.png 

4 Y 型微通道内液滴破裂过程及对应的连续相速度矢量图

1712798505818775.png 

5 不同角度 Y 型微通道内两相液体交汇处连续相速度矢量图

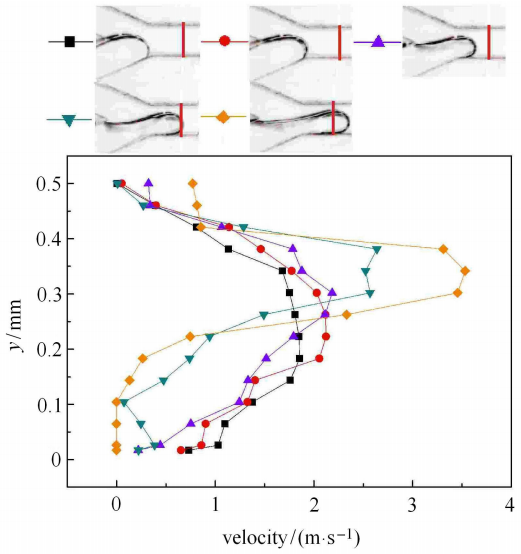
6 为 Y 型微通道主通道横截面内,由显微粒子图像测速技术测量的连续相液体随分散相液滴逐渐形成过程中的速度曲线. 图 7 为对照显微粒子图像测速技术实验,通过数值模拟方法得到的在液滴破裂过程中,微通道内两相液体的压力云图,用以解释连续相速度剖面发生变化的原因,以 Y 型角度为 45? 为例. 首先由图 6 观察到当分散相开始进入主通道时,连续相速度剖面同微通道内液体单向流动时的泊肃叶 (Poiseuille) 分布一致,速度大小保持抛物线型,即通道中间速度最大,其大小达到连续相液体入口速度 (0.02 m/s),靠近通道壁面的速度最小(接近 0 m/s). 而随着时间的增加,分散相逐渐进入主通道中,连续相速度剖面虽然还保持为抛物线型,但是抛物线的顶点速度变大,增大的幅度达到连续相入口速度的 10% (约为 0.022 m/s),曲线更陡峭. 结合图 7 观察到在液滴生成过程中,液滴头部的压力最大,同时与之相对应的主通道内连续相压力也有所增大,说明分散相向主通道运动的同时挤压着靠近其头部的连续相液体,因此使得受到挤压的连续相液体中间速度变大,解释了连续相速度抛物线顶点速度变大的原因. 而对于与分散相头部相切的连续相液体,速度剖面中的速度抛物线顶点向上壁面移动,且峰值变大;当主通道的某一横截面内同时被连续相和分散相占据时,连续相的最大速度达到最大值,增大幅度约为连续相入口速度大小的 2 倍左右(约为 0.035 m/s),且速度抛物线顶点继续向上壁面移动 (图 6). 这说明连续相受到来自分散相的挤压作用更大,才导致其速度变大. 此外由图 7(a)~7(c) 可知,随着连续相在两相交汇处压力的增大,液滴开始发生颈缩,且在分散相通道与主通道交点处液滴内部的压力逐渐由 310 Pa 增大至 370 Pa,且交点处的最大压力面积发生扩散,最后在压力最大位置的中心处发生破裂. 而在两相交汇位置处,连续相液体的内部压力随着分散相开始进入主通道而变大,变化幅度约为 100 Pa;当液滴开始颈缩后,连续相内部压力继续增大至 250 Pa;当液滴即将发生破裂时,连续相内部压力不再继续增大,而是发生小幅度减小,压力降至 225 Pa (图 7(d));随着分散相液滴完成破裂后,连续相在分散相颈缩附近的压力继续下降至 100 Pa(图 7(e)),此后进入液滴生成的下一周期,说明液滴的生成伴随着两相流压力的周期性变化.

1712798527286299.png 

6 显微粒子图像测速技术测量的 Y 型微通道主通道距离两相交汇 600 μm 处横截面上的连续相速度剖面

1712798562612006.png 

7 数值模拟液滴生长过程中,Y 型微通道内两相流压力云图

2.3 液滴直径及生成时间的影响因素分析

8 为经过高速摄影拍摄后,利用 ImageJ 软件对图形进行测量,得到的不同 Y 型角度微通道在不同两相毛细数下生成的液滴流液滴的直径. 当 Y 型角度小于 135? 时,液滴大小不受 Y 型微通道角度的影响而变化. 但是当 Y 型角度增大到 180? 时即为对流 T 型微通道,液滴直径较 Y 型微通道大,增大的幅度在 2% 以内. 说明在乳化、混合过程中利用 Y 型微通道可得到体积更小的液滴,以使其乳化、混合效果最好. 此结论与 Steegmans 等利用微通道深度较其宽度小很多的 Y 型微通道得到的结论一致. 两相流毛细数的变化同样对液滴直径有着重要影响,当分散相毛细数不变,连续相毛细数增大 25% 左右时,液滴直径减小幅度约为 3.4%~3.7%;当连续相毛细数不变,分散相毛细数增大 25% 时,液滴直径相应增大 1.7%~2%. 两相毛细数对液滴大小的影响主要在于:当两相液体相遇后,在两相交汇处形成分散相/连续相界面,分散相在压力推动和连续相剪切力作用下与连续相同步向前运动,当界面张力不足以维持连续相施加的剪切力时,分散相断裂生成独立的液滴. 而当连续相毛细数增大时,其自身的黏性力作用增强,分散相受到来自连续相的剪切作用相对增大,因此分散相更容易破裂,形成的液滴更小,且连续相比分散相对液滴直径的影响作用更大.

9 为经过高速摄影拍摄后,所得的不同 Y 型角度的微通道在不同两相毛细数下生成液滴的时间.虽然 Y 型角度对液滴直径的影响很小,但其对液滴生成时间的影响作用更大. 随着 Y 型角度的增大液滴生成的时间更长,图 5 中不同角度 Y 型微通道内两相液体交汇处连续相不同的速度矢量分布可解释此原因. 随着 Y 型角度的减小,来自连续相流量的速度矢量在两相交汇处与两相界面所成角度逐渐减小,即来自连续相流量的剪切作用更显著,导致了两相界面的失稳,随后液滴破裂. 微液滴的主要生成过程是如何施加足够大的作用力以扰动连续相与分散相之间存在的界面张力使之达到失稳. 通常分散相某处施加的力大于其界面张力时,该处微量液体会突破界面张力进入连续相中形成液滴. 图 9 中两相毛细数对液滴生成时间的影响,可以说明液滴形成的机制. 当分散相毛细数或连续相毛细数增大时,导致两相液体黏性力增大,使得两相界面的不稳定性增强,因而液滴破裂生成的时间更短.

10 为不同连续相毛细数下,Y 型微通道内分散相液滴破裂前连续相速度矢量图,以 Y 型角度为90? 为例. 从图 10(a) 中可以观察到,当连续相毛细数较小时,两相交汇处连续相的速度矢量除一部分指向主通道方向,还有一小部分在两相界面上产生一个很小的涡. 而随着连续相毛细数的增大,这个涡逐渐消失,连续相在遇到分散相时速度矢量角度逐渐变小,直至与两相界面相切,如图 10(b) 所示. 此外,连续相毛细数的增大使得分散相破裂的位置更靠近两相交汇位置,颈缩长度更短. 说明连续相毛细数的增大不仅增强了其内部的黏性力,还使得连续相在两相交汇位置处对分散相的作用力更集中,导致分散相颈缩长度更短、更易破裂. 因此从两相流内部流动情况解释了不同连续相毛细数下,分散相形成液滴的大小以及生成周期的不同.

图片6.png

10 液滴破裂前连续相速度矢量图

3 结 论

(1) Y 型微通道中,随连续相毛细数的增大,液滴先后经历了挤压、过渡和滴流这 3 种不同的形成机制. 在挤压机制中,分散相液滴的破裂除受到自身的表面张力外,来自连续相的剪切作用效果明显,Y型角度越小,分散相所受到的剪切作用越大.

(2) 液滴生成过程中,当主通道中同时填充两相液体时,连续相速度剖面呈非对称抛物线型分布且最大速度达到最大. 而液滴的破裂过程伴随着两相液体内部压力的周期性变化,在液滴破裂瞬间,其分散相颈缩部分的压力值达到最大.

(3) 当 Y 型角度小于 180? 时,角度的变化对液滴直径大小影响较小,但角度的减小加快了液滴的生成时间. 当 Y 型角度为 180? 时,生成的液滴体积最大且生成时间最长.

(4) 毛细数同时影响着液滴直径大小和生成时间. 当连续相毛细数增大或分散相毛细数减小时,液滴直径减??;当分散相毛细数或连续相毛细数增大时,液滴生成时间变短. 连续相毛细数的增大使得连续相在两相交汇位置处对分散相的作用力更集中,导致分散相颈缩长度更短、更易破裂.

免责声明:文章来源网络  以传播知识、有益学习和研究为宗旨。 转载仅供参考学习及传递有用信息,版权归原作者所有,如侵犯权益,请联系删除。



标签:   微流控芯片