重氮化及重氮耦合连续流合成唑草胺关键中间体
唑草胺是由日本中外制药研制出的除草剂。因其能抑制脂肪酸延长酶的活性,阻断长链脂肪酸的合成,可防除稻田大多数一年生与多年生阔叶杂草,如稗草、鸭舌草等,对稗草有特效,是一种较为广泛使用且毒性较低的有效农药。
1.合成唑草胺传统工艺介绍
3-(mesitylthio)-1H-1,2,4-triazole是合成唑草胺的关键中间体。现有的文献中,合成该关键中间体主要有以下三种方案(图 1)。

图1. 唑草胺关键中间体的传统合成方法
第一种方案总的来说,虽然具有很好的转化率,但是由于反应为固液两相反应,如果搅拌不充分,反应时间会比较长,而且碳酸钾的用量较大;
第二种方案收率不错,但是使用重金属催化为后续的废水处理和产品的检测带来很多麻烦,环境不友好;
第三种方案和前两种相比,无论在收率还是在操作上都没有优势,尤其是反应中产生的重氮盐稳定性差,容易分解,稍有不慎就有可能发生爆炸,引发事故。
在如今环保和安全形势严峻的情况下,对其工艺的改进,降低安全风险的同时又能很好地得到产品是具有重大意义。
2.合成唑草胺连续流工艺简述
近年来,连续流微通道反应备受学术界及工业领域的关注。和传统间歇釜工艺相比较,连续流技术具有许多优势。比如反应参数可以做到精准控制、高效的传热和传质、持液体积大大地小于间歇釜、反应效率高、过程更安全等。在化学反应过程中,连续流没有返混的过程,可以避免一些副反应发生。
近日,浙江工业大学的研究人员在OPRD上发表了一篇文章(DOI: 10.1021 / acs. oprd. 8b00362)介绍了唑草胺关键中间体的连续流合成方法。
考虑到合成3-(mesitylthio)-1H-1,2,4-triazole是由两步反应串联而成的,同时兼顾连续流工艺的特点,所以研究人员尝试对传统第三种方案进行优化。首先需要对第一步制备重氮盐做出系统地研究,然后再研究脱重氮基反应。
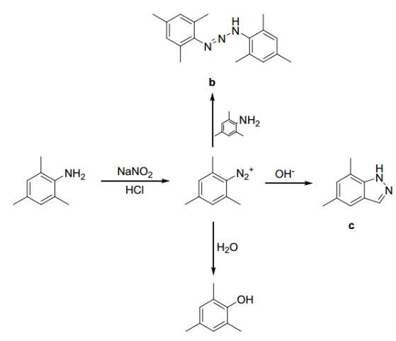
进行连续流工艺优化前,作者研究了釜式反应的工艺,并作出了合理解释及解决思路。他们认为产生的副反应来自下列原因(图2):反应产生的重氮盐大量的堆积,加上温度低,重氮盐析出不能充分和底物接触,进而产生竞争反应,生成副产物(a,b)。溶液的pH值过高导致苯环上甲基被活化从而产出杂质c。

图 2. 反应过程副产物产生原因分析
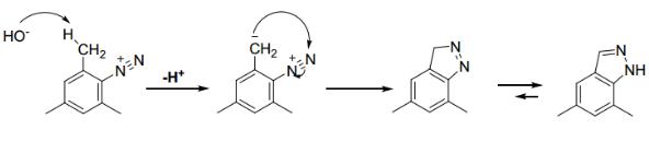
同时,作者也对产物的合成机理给出了合理的建议。

图3. 产物的可能合成机理
作者认为:
1)微通道连续流反应器可以精准控温物料参数,温度不会有很大的波动;
2)同时产生的重氮盐随反应液流出,没有返混过程,所以连续流工艺有机会避免副反应的产生;
3)对于NaOH的用量,可以精准进料,在工艺优化过程中可以优化出最为理想的碱浓度。
在这样的设想下,研究团队展开了连续流工艺的优化,设计了工艺流程(图4),对每一步的参数都做了仔细研究,最终得到了令人满意的结果。

图4. 连续流工艺流程示意图
研究结果显示,在两步连续的情况下,总反应停留时间为50秒,反应温度分别为10°?和25°?,反应收率可达85%,产物纯度98%。连续流工艺和釜式工艺相比,不仅提高了转化率、缩短了反应时间和产品的纯度也有所提高,而且很好地避免了副反应的产生,更重要的是大大提高了工艺的安全性(表1)。

图4. 连续流工艺流程示意图
研究结果显示,在两步连续的情况下,总反应停留时间为50秒,反应温度分别为10°?和25°?,反应收率可达85%,产物纯度98%。连续流工艺和釜式工艺相比,不仅提高了转化率、缩短了反应时间和产品的纯度也有所提高,而且很好地避免了副反应的产生,更重要的是大大提高了工艺的安全性(表1)。

表1. 连续流和釜式工艺结果对比
从杂质的产生来看,连续流工艺具有明显的优势。如图5所示。

图5. 不同工艺杂质含量对比
3.实验总结
该重氮化及重氮偶合反应可以在连续流微反应器中顺利实现;
反应过程连续化,易于操作和放大,且过程安全性大大提升;
和传统釜式反应比:反应时间短,收率高,杂质含量低, 是一种较为绿色化的合成工艺。
参考文献:Org. Process Res. Dev., DOI: 10.1021/ acs.oprd. 8b00362 ? Publication Date (Web): 26 Nov 2018 注:图片来自原文
