有机锂在连续反应器中的制备和应用
有机金属,是一种具有碳金属键的物质,它们可提供类似于碳负离子的结构,可被用来形成有机化合物的碳-碳骨架,因此它们在有机合成中至关重要的。该有机金属物种的性质由金属的性质决定。一般来说,由于金属和碳之间的电负性差异越大,极化度越大。因此,有机金属反应活性物种随着电负性差异的增加而增加。下表列出了有机合成中常用作的有机金属试剂的碳与金属之间电负性的差异。表中,有机锂物质反应活性是最高的,有机镁物质的活性仅次于有机锂。事实上,有机锂和有机镁物质对各种亲电试剂(包括羰基化合物如醛、酮和酯)具有高反应活性。然而,这种有机金属物质的高反应活性常常难以控制,特别是在大规模工业生产的情况下。

2 有机锂
在金属有机化合物中,有机锂的活性是最高的,因此有机锂在有机合成中的应用十分广泛。然而,有机锂的高活性限制了其的应用及合成,原因如下:
a.有机锂不稳定,它们必须在很低的温度下合成,为防止高度不稳定的有机锂的分解,常常需要极低的温度(低于-78℃);
b.有机锂参加的反应往往是非常迅速的,并且伴随着强放热过程,在传统的釜式反应器中很难控制;
因此,有机锂的工业化应用受到了很大的限制。连续流微反应器具有比传统釜式反应器高的传质与传热系数,在此,我们综述了微反应器在解决有机锂的产生以及与亲电试剂反应方面的应用。
3 锂-卤交换反应(Halogen-Li exchange reaction)
尽管H-Li交换(拔氢、去质子化)以及碳锂化反应是合成有机锂的重要方法,但是实际操作中用的最普遍的则是X-Li交换反应。锂卤交换反应的选择性受到形成的碳负离子的稳定性控制,一般说来有sp>>sp2>>sp3。从这个角度来看,叔丁基锂的活泼型最强,因为形成的叔丁基的碳负离子最稳定。顺序为ArCH2Br>ArBr>ArCH2CH2Br>Ar(CH)nCl。
3.1 芳基锂和杂芳基锂
2003年,文献JP 2003-337787、JP 4639042报道了微反应器中溴苯衍生物与n-BuLi的Br-Li交换反应,该反应可以在0℃下进行,比釜式反应器中的反应温度高很多,如图1所示。这是因为微反应器的传热系数高并且停留时间短导致。得到的有机锂与不同的亲电试剂进行反应,包括TMS-Cl、苯甲醛、DMF等。微反应器同样适用于卤代杂环芳烃的X-Li交换反应。

文献“Org. Proc. Res. Dev. 2004, 8, 440”1报道了一种间溴茴香醚与丁基锂进行X-Li交换反应,得到的不稳定的中间体使用DMF淬灭得到间甲氧基苯甲醛。该反应在一个二级反应器中进行,在几乎等温条件下运行24h,产量达到24g/h。

文献“Org. Proc. Res. Dev. 2007, 8, 455”2报道了类似的反应,间溴茴香醚经过锂卤交换得到间甲氧基苯锂,如下图所示,然后和二甲氨基环己酮反应得到产品阿片类中枢性镇痛药曲马多。

间二溴苯与对二溴苯与n-BuLi的Br-Li交换反应在微反应器中的反应温度可在20℃下进行,而同样的反应在间歇反应器中需要在-48℃以下进行(Chem. Asian J. 2007, 2, 15133)。文献“Chem. Eng. Technol. 2008, 31, 1140”4开发了一种产生和消耗对溴苯锂的反应器,这种反应器包括混合单元、反应单元和换热单元等。

另外,文献“J. Am. Chem. Soc. 2007, 129, 3046”5报道,邻二溴苯与n-BuLi的Br-Li交换在微反应器中可在-78℃下进行,但是在釜式反应器中该反应需在-110℃下进行,这是因为Br-Li交换形成的邻锂溴苯很容易脱去LiBr形成苯炔中间体。图3表明了产品的收率与温度和停留时间的关系。这种温度-停留时间图很直观地揭示了活性中间体的稳定性及最优的反应条件。实际上,通过调节反应的停留时间和反应温度,可以得到收率较高的目标产品。Br-Li交换形成的邻锂溴苯与一系列的亲电试剂反应,如三氟甲磺酸甲酯、氯化二甲基硅烷、三氟甲磺酸三甲基硅酯、三丁基氯化锡、苯甲醛、乙醛、乙酰苯等,可以得到一系列溴苯衍生物。另外,在最优条件下,使用集成的连续流微反应器(包括四个混合器、四个微型管式反应器)顺序地与两个亲电试剂反应可以得到一系列邻、间、对位取代的苯衍生物,并且收率均较高,在53~93%。

此外,还有另外一些芳基锂和杂芳基锂在微反应器中的制备和应用的文献报道,总结如下。
文献“RSC Adv. 2011, 1, 5, 758”6在微反应器内进行了多步反应合成了TAC-101(4-[3,5-bis(trimethylsilyl)benzamido]benzoic acid)系列产品。该路线以间三溴苯为初始原料,在微反应器内进行三步Br–Li交换反应,每步交换反应后得到的苯锂中间体与一种亲电试剂反应。为了达到反应的目的,该微反应器系统包括六个混合器和六个微管反应器。通过调节每个反应器内的停留时间,每步反应的收率均达到理想效果。值得注意的是,总的停留时间12.2s,根据硅基团的性质不同,产量在132~194mg/min。

文献“Chem. Eng. J. 2008, 135S, S17”7报道了微反应器内溴萘与正丁基锂反应后形成的萘锂与9,10-蒽醌反应,得到萘取代的蒽醌,微反应器的混合器为the caterpillar split–recombine micromixer,微反应器的温度为-20℃,转化率85%,纯度97%。

文献“Aust. J. Chem. 2013, 66, 199”8、“Green Chem. 2011, 13, 1110”9等通过溴代吡啶的Br–Li交换反应可以得到吡啶锂中间体,这是向吡啶环上引入取代基的重要手段。相对于传统间歇反应器来说,使用微反应器可以使这些反应在较高的温度下进行,比如吡啶锂的反应温度为-28℃,溴吡啶锂的反应温度为0℃。对于二溴吡啶来说,使用多级微反应器系统可向吡啶环上引入两个亲电基团。此外,文献“Synlett 2008, 1361”10报道微反应器中溴代吡啶的Br–Li交换反应及与酮的亲电加成反应可在0℃下进行,并且可进行原位淬灭。

文献“Chem. Asian J. 2013, 8, 705”11报道,若使用含氟的亲电试剂(如)与芳基锂或杂芳基锂反应可以生成相应的氟化物。这也为制备氟化物提供一种新的思路。

气态CO2在连续流中也可以作为一种亲电试剂。例如,文献“RSC Adv. 2014, 4, 26, 13430”12报道通过拔氢得到的杂芳基锂中间体与CO2反应后经过质子化可以得到相应的羧酸。

另外,文献“Angew. Chem. Int. Ed. 2014, 53, 32, 8416”13报道了在微反应器中通过芳基锂、烷基锂、或芳基锂和CO2制备酮的方法,相对于传统釜式反应器来说,在抑制对称酮和叔醇副产品有显著的优势。过量的CO2对下游反应不利,可以通过加入一个真空脱气罐来解决。芳基锂在乙醚中的活性比在THF中的活性高,因此实验1#至实验5有大量的对称酮(homocoupling reaction,一般使用金属催化剂进行催化)生成,并且温度越高,其活性越高,目标产品羧酸的收率越低。


3.2 官能芳基锂
硝基化合物在有机合成中是一类重要的中间体,硝基不仅可以直接反应,而且是氨基的前体。但是,传统釜式反应器中硝基化合物在有机合成中的应用非常有限,这可能是因为硝基与金属有机试剂是不相容的。例如,邻位带有硝基的芳香锂与芳香镁仅在极低的温度下才能得到,并且根据文献“”报道,间、对为带有硝基的芳香锂、芳香镁通过传统釜式方法是得不到的。相反,文献“”报道,连续流微反应器中,通过选择合适的反应温度和停留时间可以得到邻、间、对位硝基的芳香锂,并且硝基可不进行?;?。
通常情况下,含有羰基的化合物在进行锂化反应之前要对羰基进行?;ぃ俏南?/span>“Nature Communications 2011, 2, 264”14报道,连续流微反应器使含酮羰基的化合物的锂化反应在酮羰基未经?;さ那榭鱿鲁晌赡?。通过显著降低反应的停留时间(0.003s或者更少),不?;ね驶奶跫?,通过芳香碘与苯基锂的I-Li交换反应得到含有酮羰基的芳香锂。在不影响酮羰基的条件下,得到的芳基锂可与一系列的亲电试剂进行反应。并且,通过这种方法成功低合成了天然化合物pauciflorol F,收率可达81%,5min运行时间可得产品1.06g。

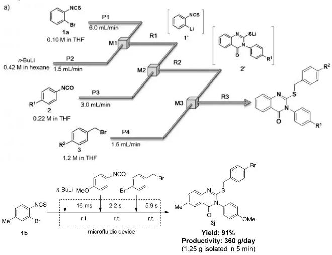
文献“Angew. Chem. Int. Ed. 2015, 54, 1877”15报道了微反应器中邻溴苯异硫氰酸酯与丁基锂在室温下反应生成邻锂苯异硫氰酸酯。然而,由于这种中间体的不稳定性,该反应的时间为16 ms。这种中间体与苯异氰酸酯与溴化苄反应生成一系列的Thioquinazolinones。

文献“Chem. Eur. J. 2014, 20, 7931”16Br–Li交换反应产生的官能芳基锂可直接与CO2反应生成官能苯甲酸,在此过程中,官能团不会收到影响。这种方法也可合成一些活性酯。

芳基硼酸及酯在过度金属催化领域有广泛的应用,例如Suzuki–Miyaura耦合反应。制备这些硼化合物最常用的方法是格氏试剂或有机锂试剂与三烷基硼反应(Organometallics, 1983, 2, 1316)。尽管这种传统的方法应用普遍,但是当底物中含有与有机金属不相容的亲电官能团时,如烷氧羰基、氰基、硝基等,这种方法就很难行得通。或者芳基硼酸酯可以通过卤代芳香烃或者三氟甲磺酸芳香酯与四烷氧基乙硼烷的Pd催化耦合反应来制备。这种方法适用于的官能团范围广。芳香胺的硼化也有文献报道(Angew. Chem. Int. Ed. 2010, 49, 1846)。17然而,由于硼化试剂(四烷氧基乙硼烷、二烷氧基硼烷等)十分昂贵,这些方法均不适合大规模生产。因此,必须考虑使用三烷基硼酸盐来制备一些含有亲电官能团的芳基硼酸酯。
文献文献“Org. Lett. 2016, 18, 3630”18、“Org. Lett. 2011, 13, 3312”19、“Chem. Eur. J. 2014, 20, 263”20、“Angew. Chem. Int. Ed. 2011, 50, 10665”21等报道了连续流微反应器内依次通过金属化作用、硼化作用制备芳基硼酸或芳基硼酸酯的方法。例如,文献“Chem. Commun. 2012, 48, 11211”22报道,微反应器中锂卤交换产生的芳香锂与异丙醇频哪醇硼酸酯反应可生成相应的芳香硼酸频哪醇酯,收率很理想。显著地,由于微反应器内反应时间极短,含亲电官能团的芳基锂迅速产生并且在分解之前就参与到下步反应中去。因此,含烷氧羰基、氰基、硝基的芳香卤均适合最优条件,而在传统间歇反应器中这些中间体非常容易分解。此外,还需注意的是,最简单的苯基硼酸频哪醇酯可在较高的温度下合成,如在24℃下,收率达到92%。
微反应器中硼化反应还可以与钯催化的Suzuki–Miyaura耦联反应结合起来。

3.3 烯基锂
烯基锂在有机合成中有广泛的应用。烯基溴和等摩尔的异丁基锂在0或20℃下在微反应器内可有效地产生烯基锂,而在传统间歇反应器中则需要两个当量的叔丁基锂及更低的温度。23得到的烯基锂中间体再与一系列的亲电试剂反应可以得到一系列相应的目标产品。

文献“Angew. Chem. Int. Ed. 2012, 51, 3245”报道了精确控制停留时间的作用。通过选择合适的停留时间,可以控制1,2-二氯乙烯锂反应按照不同的路线进行,从而产生不同的产品。停留时间较短时,1,2-二氯乙烯锂与一种亲电试剂反应得到一取代的1,2-二氯乙烯。继续使用s-BuLi拔氢,接着与第二种亲电试剂反应可以得到1,2-二取代的1,2-二氯乙烯。停留时间较长时,1,2-二氯乙烯基锂发生β-消除反应消除了LiCl生成氯乙炔,如果使用过量的s-BuLi,氯乙炔会进行拔氢得到2-氯乙炔锂。2-氯乙炔锂与一种亲电试剂反应可以得到氯乙炔的一取代物。氯乙炔的一取代物再与s-BuLi进行Cl–Li反应,接着与第二种亲电试剂反应可以得到二取代的乙炔。因此,烯烃和炔烃均可按照期望选择性的得到。文献“Chem. Lett. 2015, 44, 214”24报道了一种类似的转化,通过控制停留时间,三氯乙烯锂可直接与亲电试剂反应生成取代的三氯乙烯,也可进行消除后再进行锂卤交换得到取代的氯乙炔。

α-三氟甲基乙烯基锂是构建含CF3-基团的分子的重要基础材料。然而,在传统间歇反应器中由于会发生极快的消除LiF从而产生1,1-二氟丙二烯,它的制备和后续的反应均需要极地的温度,如-100℃以下。但是如果使用微反应器,α-三氟甲基乙烯基锂的生成和后续与亲电试剂的反应在-78℃下即可进行(Chem. Commun. 2014, 50, 15079)。

不饱和化合物的碳锂化反应,如烯烃、炔烃、烯缺等是构建C-C键的一种有吸引力的方法,因为这个反应生成了一种二级的有机锂中间体,可以与后面的一系列亲电试剂反应。文献“Org. Lett. 2009, 11, 3614”26使用一种多级的微反应器系统,共轭的烯缺与芳基锂发生碳锂化反应,得到的丙二烯基锂再与氯硅烷反应生成一系列硅烷基丙二烯,收率很高。

3.4 炔基锂
末端炔烃与LDA(二异丙基氨基锂)反应可形成炔基锂,这是因为末端确定的C-H是酸性的。这个反应可在微反应器中进行,得到的炔基锂连续地与CO2反应可以得到羧酸(RSC Adv 2014, 4, 13430)。

3.5 苄基锂与烯丙基锂
苄基锂可通过萘锂的还原锂化反应来制备。但是,在传统间歇反应器中这种方法会发生Wurtz-type自身耦联反应生成联苄。27不过,在微混合器中由于混合时间极短可以解决这个问题。因此,氯化苄使用萘锂的锂化反应接着进行与亲电试剂的反应可以得到收率很高的目标产品。
文献“Org. Biomol. Chem. 2015, 13, 7140”28报道,在停留时间很短的微反应器中,含有醛羰基的苄基锂的生成及后续与一系列亲电试剂的反应可在不影响醛基的条件下进行。一般而言,醛类的要比酮类更活泼,这使得它们在不进行?;さ奶跫路从Ρ冉侠选R虼诵枰痰耐A羰奔洌?/span>1.3ms),以及较低的反应温度(-78℃)。

文献“Adv. Synth. Catal. 2013, 355, 3375”29报道了一种有趣的转化,1-溴-2-溴甲基苯与正丁基锂的Br–Li交换反应得到邻溴苄基锂,邻溴苄基锂与未反应的原料反应可得1,2-二(2-溴苯基)乙烷。1,2-二(2-溴苯基)乙烷再与正丁基锂进行Br–Li交换反应生成2-(2-溴苯乙基)苯基锂。该中间体与CO2反应后再进行第三次Br-Li交换反应得到二苯并环庚酮,这是一种三环抗抑郁药,并可作为阿米替林的前体。为除去反应中过量的CO2,可在反应器系统中加入一种脱气装置。二苯并环庚酮与3-(二甲氨基)丙基氯化镁反应后经过水解可得到阿米替林。

文献“Org. Lett. 2014, 16, 5632”30报道的方法是一种产生烯丙基锂的有效的方法。在连续反应器中正丁基锂与1,3-三甲基硅丙烯反应可得到烯丙基锂,烯丙基锂在背压条件下可与CO反应。配上加热装置,可加速CO的捕捉反应。

3.6 烷基锂
全氟烷基锂很容易进行快速的消除反应,消除一分子LiF后形成全氟烯烃(Acc. Chem. Res. 2008, 41, 817)31。因此,连续流的微反应器是制备这些全氟烷基锂及进行后续反应的有效手段。1,32全氟烷基锂与亲电试剂的反应通常有两种方法。比较流行的方法是使用一种亲电试剂对全服烷基锂进行原位的捕捉。而使用连续流微反应器更有利于实现这种方法,并且反应的温度(例如0℃)要比在传统间歇釜中的温度高的多(-78℃)。第二种方法是全服烷基锂在没有亲电试剂的情况下先产生,然后再加入亲电试剂。这种方法在连续流未反应中也很容易实现,因为由于微反应器中的停留时间与反应温度均很容易控制,可以很好的控制消除反应。这种方法对高活性的亲电试剂比较有效,比如三丁基氯化锡、三氟甲磺酸三甲基硅酯及异氰酸酯等,这些物质与锂化过程都是不相容的。

烯烃的碳锂化反应是一种制备烷基锂的有用的方法。例如,微反应器中全氟环戊烯与杂芳基锂的连续碳锂化反应(锂卤交换反应)并分别消除LiF后得到光敏的二芳基乙烯,这个过程中不需要冷冻的条件,因为微反应器可以有效地控制温度和停留时间。相反,如果使用传统的间歇反应器,反应的温度要低于-78℃。

卤代甲基锂常被用来作为羰基化合物同系化反应的试剂。卤代甲基锂通常在冷冻条件下通过卤代甲烷的锂卤交换反应制备。这是因为卤代甲基锂在较高温度下容易发生α-消除反应,生成碳烯(卡宾)。然而,文献“Advanced Synthesis & Catalysis 2015, 357, 21”35报道通过在微反应器中控制反应的停留时间(0.18s),可以在较高温度下制备高活性的氯甲基锂并且和一系列的亲电试剂进行反应。

7 环氧基锂及氮杂环丙烷基基锂
环氧化合物和氮杂环丙烷去质子化后得到环氧基锂和氮杂环丙烷基锂,之后再与亲电试剂进行反应得到不同取代基的环氧化合物及氮杂环丙烷,这是制备这两类化合物的重要的方法。37, 38
由于停留时间非常短,连续流微反应器使不稳定的环氧基锂及氮杂环丙基锂的制备及后续的反应成为了可能。例如,文献“J. Am. Chem. Soc. 2009, 131, 1654”39报道,微反应器内氧化苯乙烯与异丁基锂在-78℃下反应可以生产α-芳基环氧基锂,而传统间歇反应器的反应温度要低得多,达到-100℃以下。此外,文献“Chem. Lett. 2009, 38, 1060”40、“Chem. Lett. 2009, 38, 486”41、“Chem. Eur. J. 2010, 16, 14149”42等报道了微反应器还可以用来制备α-三苯基硅烷基环氧基锂与氮杂环丙基锂以及后续的反应。此外,文献“Chem. Eur. J. 2013, 19, 1872”43还报道了官能化的氮杂环丙烷及1,2,3,4-四氢异喹啉在微反应器中的制备等。

3.8 Lithium Ynolates
传统间歇釜式反应器制备Lithium Ynolates通常需要低温条件,并且当间歇工艺进行放大时,反应放出的热很难控制。

3.9 有机锂化合物异构体的控制
在某些情况下,有机锂化合物会异构化形成同分异构体。在这种情况下,反应的路径可以通过微反应器内的停留时间和温度进行控制。
下面的例子说明了通过控制微反应器内的反应时间可以对芳基锂是否发生异构化进行控制。1-溴-2,5-二甲氧基-3-硝基苯与苯基锂在-48℃下在微反应器内反应0.06s可得到一种没有异构化的芳基锂,而当停留时间延长至62s,锂的位置会发生迁移,如下图所示。两种芳基锂分别与醛反应得到最终产品,收率分别为84%和68%。

微反应器内可以精确控制反应的停留时间及温度,因此可以控制反应按照不同的路线进行。例如,文献“Chem. Lett. 2011, 40, 393”45苯并噻吩-3-锂与苯并呋喃-3-锂与亲电试剂的反应可以发生在开环以前,亦可以发生在开环之后,如下图所示,最终得到的产物也不相同。


3.10 有机锂反应的选择性控制
化学反应的选择性很大程度上由反应的机理控制。然而,对于那些在传统间歇反应器中进行极快的反应来说,向一种反应物中加入另一种反应物后缺少均相的反应环境,此时反应机理并不能控制选择性。因此,这些反应不能使用传统的间歇反应器进行控制。在这种情况下,混合效果决定了产品的选择性(disguised chemical selectivity)46。为得到基于反应机理的可预测的选择性,需要极快的混合。极快的混合可以通过微观混合器来实现。47-51
尽管丁基锂是等摩尔量的,传统间歇反应器中的二卤代联苯的锂卤交换反应通常产生单锂化和二锂化产品的混合物,这是因为反应在反应体系在达到均相之前就已经进行。52
例如,文献“Beilstein J. Org.Chem. 2009, 5, 16”53及文献“Org. Lett. 2008, 10, 3937”54报道的二溴联苯的单锂化反应,例如2,2’-二溴联苯、4,4’-二溴联苯、2,7-二溴-9,9’-二辛基芴,2,2’-二溴-1,1’-联萘、5,5’-二溴-2,2’-联噻吩等,可以使用微观混合器在严格控制二溴联苯的与丁基锂的当量为1:1的条件下进行。当微观混合器的内径降低或者物料的流速增大时,单锂化的选择性提高。这可能是因为内径降低、流速加快可以使物料在短时间内混合均匀,从而降低多锂化的可能。此外,使用集成的微反应器组可以在联苯上连续地引入两个不同的亲电基团,从而得到不对称取代的联苯,这是合成光敏化合物等功能性材料的中间体的重要方法。

对于竞争性的连锁反应来说,微观混合也是控制选择性的有力方法。例如,传统釜式反应器中,有机锂试剂与草酸二酯或者是草酰氯的反应的收率很低是因为最初生产的产品与有机锂试剂继续反应生成醇类或二酮类的副产品。而文献“Chem. Commun. 2013, 49, 3242”报道58,快速的微观混合使芳基锂与草酸二酯的反应的选择性大大提高。

微观混合还有利于提高反应的化学选择性。化学选择性在一定的反应条件下,优先对底物分子(含有两个或以上可以反应的官能团)中某一官能团起化学反应。一般说来,如果一种官能团的活性比另外一种的活性高,那么亲电取代反应比较简单,即优先与活性高的基团反应。但是当反应的速度过快时,这种说法就不成立。例如,文献“Chem. Int. Ed. 2015, 54, 1914”59报道,尽管醛的活性比酮的活性高苯甲?;郊兹┯氲饶Χ谋交诩湫从ζ髦蟹从?,得到三种产品的混合物。相反,而使用微观混合的反应器则可以显著提高化学选择性,在较高的流速条件下可以得到收率很高的目标产品。

3.11 有机锂化物反应的整合(integration of organolithium reactions)
结构复杂的分子通常经过多步反应合成,反应过程中的中间体在进行下步反应之前一般要经过分离或者纯化,使得合成过程消耗大量的人力与时间。为满足合成一系列具有特定官能团的化合物的需要,多步化学反应的速度和效率急需提高,这可以通过时间和空间两个维度进行整合,比如可以一锅法60或连续流61。
文献“J. Am. Chem. Soc. 2014, 136, 35, 12245”62报道了一种在连续流反应器中苯炔与功能性芳基锂的碳锂化反应,紧接着得到的联苯锂与亲电试剂反应得到目标产品的例子。2-溴苯基锂和一种功能性的芳基锂可以通过1-溴-2-碘苯与一种相应卤代苯分别在连续反应器中下反应得到,并且两种物质在-70℃混合。在顺序反应器(可进行多步反应)中,2-溴苯基锂在-30℃下脱去溴化氢生成苯炔中间体,这个过程不会影响官能性芳基锂。紧接着,苯炔与芳基锂发生碳锂化反应得到联芳基锂。联芳基锂再与亲电试剂反应得到三种物质耦合的新的化合物。这种方法可以用来合成农药啶酰菌胺的另外一种中间体4-氯联苯-2-胺(文献报道该中间体以对氯苯硼酸和邻氯硝基苯为原料,在N,N-二甲基乙酰胺和水的溶液中以钯炭为催化剂、碳酸钾为助催化剂经Suzuki反应得4′-氯-2-硝基联苯;在乙醇溶液中然后以锌粉或铁粉为还原剂回流下还原得到,收率60-70%,或者以对氯苯肼和苯胺为原料缩合得到)。

锂卤交换反应得到的芳基锂参与金属催化的耦联反应(例如金属Pd催化的Murahashi耦联反应,JOC,1979,44,2408)拓展了连续流微反应器在有机金属合成中的应用空间。不过,当金属Pd催化的Murahashi耦联反应,即卤代芳烃与芳基锂的耦合反应速度较慢时,Br–Li交换反应中产生的BuBr会带来一系列的副反应。不过,根据文献“Angew. Chem. Int. Ed. 2010, 49, 7543”63报道,可以通过使用特殊配体的催化剂(PEPPSI-SIPr,[1,3-bis(2,6-diisopropylphenyl)imidazolidene] (3-chloropyridyl)palladium(II) dichloride)来加快耦联的速度。因此,锂卤交换反应后接着进行Murahashi耦联反应为不同的芳基或杂芳基溴的耦联得到联苯或联杂苯提供一种直接的手段。此外,这种方法还可以用来耦联卤代乙烯基。63芳基锂在FeCl3催化下可以实现oxidative homocoupling。64有机锂试剂还可以用于金属催化的1,4-加成反应。

(文章来源:微反应器论坛-微信号 转载仅供参考学习及传递有用信息,版权归原作者所有,如侵犯权益,请联系删除)
- 上一条微流控和药物发现途径
- 下一条微化工设备:连续式反应器
