栖凤楼论坛信息社区,良家论坛一品楼,一品阁楼论坛,万花楼论坛网

首页 > 技术资讯 > 技术学院

微通道分流弹状流的界面过程及压力演变规律

弹状流是气液两相流的重要流型,其流型特征参数(气弹长度、液桥长度、液膜厚度及含气率)直接影响弹状流的流动传热性能。对弹状流进行气液分离可改变弹状流气弹/液桥长度比、提高含气率、降低液膜厚度,从而调控流型强化传热。经历重力分离、离心力分离、微通道分离,本课题组提出在表面张力和毛细力作用下利用毛细结构进行流型调控、分离两相流、强化传热的新思想,受到国内外的广泛关注。

目前对于弹状流局部压降、界面运动的研究尚少,而对于间歇流分离、生物药物运输、石油破乳等应用,界面运动及界面压力的认知是人工控制的基础和前提。本文利用CFD数值模拟方法,针对T型壁面微孔分离气液两相流、调控弹状流流型的过程进行研究;深入研究弹状流通过分液结构过程中界面运动及轴向局部压力、壁面压力以及分液界面压力的演变规律,获得分液机理,为两相流的人工可控奠定基础。

1计算模型

1.1 物理模型及计算方法

T型分液结构调控弹状流的物理模型如图1所示。两相流主管道全长101mm,直径2mm;为了分析多个分液孔相互作用,在距离进口51mm处设置3个间距为0.2mm、孔径为0.2mm的壁面T型分液结构,长度为5mm;3个分液出口1、2、3记为drainage1、drainage2、drainage3。利用ANSYS流体力学软件模拟时,利用轴对称方法只模拟通道的1/2,忽略重力影响。

图1计算物理模型及尺寸 

1计算物理模型及尺寸

数值计算采用二维双精度求解器;选用VOF方法,压力隐式求解,耦合修正的HRIC算法进行界面捕捉。HRIC是一种顺风与背风非线性混合的差分模型,其在界面捕捉上具有较好的精准度。利用CSF连续表面张力模型计算界面表面张力,壁面为无滑移流动。计算过程采用压力与速度耦合求解,求解方式为PISO;压力离散选择PRESTO,动量选择二阶迎风格式离散。其他常数采用默认值。

1.2 假设及边界条件

假设条件如下

(1)为更好地研究表面张力作用,取消重力影响,本文计算过程不考虑重力,g=0。

(2)流动过程,流体物性密度、黏度、表面张力均为常数。

(3)分液结构前管道长度为管道半径(r)的50倍,认为弹状流流型在分液前达到充分发展状态。

边界条件如下

(1)入口速度分区设置:中间气液混合入口、管道边缘稳定液相入口称为液膜入口,具体尺寸和参数见表1。

(2)入口压力给定初始条件为500Pa。

(3)出口边界条件采用压力出口,Poutlet=0;气相回流比为0。

4)3个分液口边界条件设置为压力出口,Poutlet=500Pa;气相回流比为1。

1入口分区参数设置

表1入口分区参数设置 

1.3 网格划分

模拟物理模型的长度为101mm,管道直径为2mm,微细分液结构直径为0.2mm;整个物理模型存在3种不同尺度的空间结构,对于此复杂尺度结构,采用单一网格系统,网格数量将异常庞大,对于非稳态两相流动问题,计算很难实现。为此本文针对不同空间结构采用不同尺度的网格系统:光管区域和核心区域网格长度平均为0.1mm、宽度为0.075mm;利用y+公式计算主管道边界层厚度为0.25mm,设置边界层网格10层,网格尺寸过渡倍数为1.3倍,最底层网格为0.006mm;分液孔结构内同样利用边界层网格设置底层网格为0.006mm,中间网格宽度为0.015mm,网格数量约为30万个。同时,为了精确捕捉运动气泡两相界面、液膜厚度及气液界面在分液孔交接处的运动规律,本文采用网格动态自适应技术对相界面处的网格进行二级加密。相界面处的网格被细化16倍,仅为单一网格系统网格数量的0.6%,网格数量大幅减小。

为验证网格无关性,Gambit软件分别划分网格26万、30万、36万个,并附加二阶界面动态自适应网格;结果证明,当网格数达到30万个,在相同边界条件下气弹和液桥长度变化微小,液膜轮廓均清晰可见。同时针对弹状流的薄液膜厚度这一参数,进行了模拟结果与经典计算公式之间的比较,如表2所示。

2计算液膜厚度和经典计算公式的对比结果

表2计算液膜厚度和经典计算公式的对比结果 

3为模拟分液效果与前述小尺度实验结果的比较。由表可知,流型调控前后气液长度比与实验结果的偏差均在12%以内,证明此网格划分密度已达到网格无关性要求,且可获得精准的弹状流流型模拟结果。因此,为了尽量减小计算工作量,本文选用30万个网格进行模拟计算,对T型微通道内界面运动及流场进行研究。

3模拟气弹、液桥长度及长度比与实验结果的比较

表3模拟气弹、液桥长度及长度比与实验结果的比较 

2模拟结果

2.1弹状流流型及压降

如图2所示为弹状流流型、压降规律,入口速度分别为0.3、0.2m·s?1,流动稳定后为标准的弹状流流型,气弹、液桥长度分别为3.94、4.68mm。

图2弹状流轴线压力和壁面压力随流型的变化 

2弹状流轴线压力和壁面压力随流型的变化

由图可知,伴随弹状流气弹和液桥的间隔分布,轴线静压呈现梯级阶跃;阶跃的高度差即存在于气弹界面处的拉普拉斯压差,ΔPl=91Pa。轴向沿程压降和壁面沿程压降分别为ΔPA=4.58kPa·m?1、ΔPw=5.21kPa·m?1。由轴向压力随流型变化规律可知,相对于气弹内部压力的稳定,液桥内部流动更加复杂。在近气泡前端的液桥区内液速相对较大,轴向压力迅速下降;而在近下游气泡区域内由于下游气泡对中央气泡的阻挡,轴向压力呈现反弹式波动。轴向沿程压降主要取决于液桥内部压降的大小。弹状流对管道壁面的压力则主要取决于局部流型对壁面的剪切力。液桥主体沿壁面的流动边界层相对稳定;仅在下游气泡的尾部区域,液体进入薄液膜区域前存在涡流,流动边界层厚度及壁面压降呈现波动,如图2所示。一旦进入薄液膜区域,在整个微米级厚度的流动区域内流动边界层几乎消失,流场对壁面的剪切力及压力迅速增大;并在薄液膜区域内的涡流处达到最大值,之后逐渐降低。

2.2弹状流分流前后流型变化

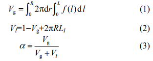
流经壁面微通道时,分液管内仅分离液体,无气泡排出。分液后弹状流气弹的长度(Lga=3.97mm)几乎保持不变,液桥长度由分液前的4.68mm缩短为2.46mm;气液长度比由0.84增大到1.61,如图3(a)所示。同时,由气弹轮廓及液膜厚度变化[图3(b)]可知,分液前气泡为标准的子弹形状,前端曲率大,末端底座曲率??;当气泡抵达分液口,在表面张力的作用下气泡受阻拦,气泡前端曲率降低;伴随液体从分液通道排出,液相对分液后的气泡界面存在与流动方向相反的剪切力,气泡前后曲率趋于一致,气泡轮廓由分液前的子弹形转变为对称形状。将气泡到壁面之间的液膜分为气泡前端厚液膜区、末端厚液膜区以及中间薄液膜区??芍?,分液前后气弹薄液膜长度Lfilm及薄液膜厚度δfilm变化甚微,分别为1.5mm和33μm。由于气泡轮廓变化,在厚液膜区内按平均分配气泡长度的原则分别测量分液前后最大、最小及中间液膜厚度δmax、δmid、δmin;计算算数平均值获得厚液膜区的平均液膜厚度δave??芍?,由于气相体积不变,气泡长度变化甚微可忽略,即气泡轮廓面积一致,相对应厚液膜的平均厚度亦相等,为0.41mm。因此,本文微通道分液后,弹状流气泡虽形状有略微不同,但体积不变、薄液膜厚度及厚液膜平均厚度未改变;仅液桥长度缩短为原来的52%。对气泡界面曲线进行积分求得气液相体积,并获得分液前后的体积气含率。

分液前后的体积气含率 

式中,r、l分别为半径方向及流动方向上的长度;R、L分别代表主管道半径和最大长度;下角标g、l分别代表气液两相;V代表体积;α为体积气含率。本文工况下分液后气含率由原来的0.33提高到0.44。

图3弹状流经微通道分液后流型变化 

3弹状流经微通道分液后流型变化

2.3分液前后流场及压力场分布规律

分液过程稳定后,分液通道前后的流动单元数目保持不变;即入口进入一个流动单元的周期与出口一个流出单元时间相等;流动单元的长度与气液两相平均速度呈正比,如式(4)所示。

流动单元的长度与气液两相平均速度呈正比 

2.2节流型变化规律可知,气泡和液桥组成的流动单元长度分液后缩短为原来的67%,即分流后平均流速降低为原来的67%。图4(a)为分液前后流动单元的速度场分布。气弹薄液膜区域内,回流液相与上游正向流动液体相遇在尾部形成两个涡流区。在液桥中心区,液体受气弹向前的推力,同时受下游气弹的阻挡,形成周围低速中间高速的平台流场。分液后,由于部分液体流量的分离,液桥长度变短,弹状流整体平均流速降低为原来的67%;液桥内部平台流场速度梯度显著削弱;同时低速液相相对气泡的剪切力增大,在薄液膜区域处的回流更显著。

由图4(b)局部压力分布及压力变化曲线可知,除气液界面表面张力引起的拉普拉斯压力跳跃以外,液桥内部压力变化规律比气弹内部的压力分布更为复杂,整个液桥段动压能分布不均匀。沿轴线方向,液桥段存在高动压能到低动压能转变的波动变化;由局部动压曲线可知液桥内高动压区与低动压区的转折点如图4所示。而沿径向方向,近气弹头部液桥区域的管道中心动压高,近壁面区域动压低。近下游气弹尾部的液桥区域则出现中心低压区、壁面高压区的分布规律;尾部壁面高压区的存在使得液桥内部静压曲线在尾部呈现如图4所示波动。弹状流经微通道分液后,液桥内动压能沿轴向的波动转折点提前;高动压区长度由占原来液桥总长度的62%降低为57%;高压区范围减小,低压区范围相对增大,相对气弹对液相的推进力,液相对气相的阻滞作用更加显著。同时,分液后液桥动压的不均匀度相对削弱,高动压区和低动压区的压差减小。

图4分液前后流动单元内流场分布规律 

4分液前后流动单元内流场分布规律

如图5所示,沿程压降中静压压降占优,动压由于速度保持稳定基本维持平均值不变的周期性波动。当弹状流液桥位于分液微通道与主管道交汇处时,主管道上游和下游流体联通,伴随部分液体的分离管内流速降低,分液后管内沿程静压压降显著减??;由分液前的4.4kPa·m?1降低为2.12kPa·m?1。而当气弹到达分液口,气弹沿微通道渗透生成3个子气泡。子气泡在分液微通道内做“类活塞”运动的同时,主管道内上下游流体被切断。此时,分液微通道出口的恒定背压(500Pa)通过子气泡的界面压差传递至主管道。主管道内静压力由分液微通道处的气弹向进、出口两侧扩展。使得分液口下游到出口处的沿程总压降为固定值500Pa,即最大的沿程压降8.96kPa·m?1。弹状流的气弹、液桥交替流经分液口,使得管内压力分布也随之表现为周期性波动,此为弹状流局部压力周期不稳定性在分液操作中的特征表现。

图5分液口流型对管内沿程压降的影响 

5分液口流型对管内沿程压降的影响

2.4各分液口的分液量

6为进口和各个出口的流速情况。已知气、液两相在进口流入时间周期为1:2,所有出口流速都按弹状流气液两相标识出一个流动单元的时间周期。出口处气液的标识代表出口截面的主相,排液口处的气液标识表示交替流经分液交汇处的弹状流气液两相??芍?,出口处由于气弹排出时界面发生变形,出口截面处液体流速在气弹长度范围中逐渐增大;气弹尾部到达出口时,涌来的液桥由于界面压差的瞬间消失引起流速的突然增大,随后又回归稳定;且由于界面压差的突然消失,流速最大值出现在气弹排出后的瞬间。同时,3个排液微通道具有与出口流速类似的非均匀性和周期波动性。由于液桥高速区内近壁面处液体向上游薄液膜区域的回流,径向分速度使第1分液通道在液桥的高速区达到分液口时即开始分液。同时,由于第1通道液体的排出阻截下游近壁面区液相向薄液膜的回流,导致第2和第3个分液口在液桥区无液体分离。当气弹到达通道交汇处时,气弹生成渗透子气泡并在分液通道内做“类活塞”运动,此时在子气泡的推动下发生分液。如图所示第2与第3个分液通道的分液间隔为0.003s;通道之间间隔为0.2mm,气弹流动速度为0.067m·s?1??芍?,气弹到达分液通道后,在界面压差的作用下形成子气泡并进行类活塞运动,阻滞了气弹在主管道内的流动,使其流速显著降低。同时利用对出口流速曲线的面积分获得3个分液口的分液量为52:26:22。

图6分液过程中进口、出口以及3个排液口的流速变化规律(图中气、液表示进口、出口截面处气相为主体状态以及液相为主体状态,在3个排液口则表示时间区域内为弹状流气弹或液桥抵达T型分液通道入口处) 

6分液过程中进口、出口以及3个排液口的流速变化规律(图中气、液表示进口、出口截面处气相为主体状态以及液相为主体状态,在3个排液口则表示时间区域内为弹状流气弹或液桥抵达T型分液通道入口处)

2.5分液交叉管处界面运动及压力演变

中心轴线的压力变化可反映流型的演变,沿壁面及分液口处的静压及动压变化则能揭露分液过程的机理。如图7(a)所示,整个弹状流气泡从接近分液口到完全脱离需要约16ms;而每个微通道内渗透子气泡历经约10ms,经过生长、稳定滑移、回缩以及脱离的整个界面运动周期,进行液体分离。

图7伴随分液过程的类活塞运动分液口及壁面上静压和动压的演变规律 

7伴随分液过程的类活塞运动分液口及壁面上静压和动压的演变规律

如图7(b)所示,当液桥高动压区达到分液口时,微通道内静压能经过低动压区的补偿已经为正值;在微通道入口处开始出现动能。而结合图6出口排液流速可知,此时第2、第3个微通道流入的液体主要用于补充子气泡回缩造成的空白体积,并未造成分液;第1个微通道渗透子气泡的体积相对很小,流入液体量大于所需补充体积即引发分液。到达图7(c)时刻,第1、2分液口被气泡封堵,入口流速为0,其静压力受分液出口影响迅速上升;而第3分液口仍处在补液状态,静压相对较低。当3个微通道均被渗透子气泡填充,入口速度及动压消失;静止气泡发挥背压阀的作用,管内静压与分液出口压力相同达到最大值;仅在液膜的惯性作用下,在第1个分液口有极少液体的渗流。结合图6,可知此时为子气泡的生长过程,虽分液入口处速度和动压为零,而在子气泡延伸生长的作用下微通道出口进行排液。当子气泡生长到最大长度后开始回缩,管内流动出现倒流,静压逐渐降低。第1子气泡脱离通道后液体涌入并进行液体补充,如图7(e)所示。伴随全部子气泡活塞式的抽离,分液入口处静压瞬间变为负值,此时为液桥低动压区抵达分液入口。主管道液体流入微通道补充静压损失而不产生分液。经液桥低动压区的液体补充,分液口静压逐渐恢复为正值,并进入下一个循环周期??芍戳鞣忠菏抵适牵旱戳髌舛路忠何⑼ǖ?,在无流体流入分液口的情况下,伴随渗透子气泡的生长,子气泡将微通道内液体排出体系;而当液桥抵达分液口时,子气泡的回缩及抽离阶段使分液微通道内产生负压,并吸入液桥中液体进行补充,但不引起分液。整个分液过程伴随气弹和液桥的交替出现及气弹的类活塞封堵,管内静压呈现正负周期振荡规律。

3结论

通过对微通道调控弹状流分液过程的模拟,指出其流型调控分液过程的实质;并对分液过程中轴向沿程压力、局部压力以及壁面及分液口的压力变化规律进行分析和讨论,获得如下结论。

(1)弹状流经过壁面微通道时,分液管内仅分离液体,无气泡排出。在本工况下,分液后弹状流气弹的长度几乎保持不变,仅液桥长度缩短为原来的52%;分液后管内气含率由原来的0.33提高到了0.44。3个分液口的分液量之比为52:26:22,首个分液量占主导。

(2)相对于气弹内部压力的稳定,弹状流液桥内部流动更加复杂。在近气泡前端的液桥区内为高动压区;而在近下游气泡区域内为低动压区。对应液桥内部静压的变化在高动压区匀速下降,而在低动压区呈现反弹式波动。分液后,液桥内动压能沿轴向的波动转折点提前;高压区范围减小,低压区范围相对增大,相对气弹对液相的推进力,液相对气相的阻滞作用更加显著。同时,分液后伴随液速的降低,液桥动压、静压的不均匀度相对削弱,高动压区和低动压区的压差减小。

(3)伴随弹状流的气弹、液桥交替流经分液口及气弹的类活塞封堵,管道内部压力表现为周期性波动,主要体现在管内静压呈现正负周期振荡规律。此为弹状流局部压力周期不稳定性在分液操作中的特征表现。

4)微通道分液弹状流实质是:弹状流气弹封堵分液微通道,在无流体流入分液口的情况下,伴随渗透子气泡的生长,子气泡将微通道内液体排出体系;而当液桥抵达分液口时,子气泡的回缩及抽离阶段使分液微通道内产生负压,并吸入液桥中液体进行补充,但不引起分液。

(文章来源:化工学报DOI:10.11949/j.issn.0438-1157.20170064作者:陈宏霞黄林滨宫逸飞科学网科学网转载仅供参考学习及传递有用信息,版权归原作者所有,如侵犯权益,请联系删除)