栖凤楼论坛信息社区,良家论坛一品楼,一品阁楼论坛,万花楼论坛网

首页 > 技术资讯 > 技术学院

声化学微反应器——超声和微反应器协同强化

摘要:微反应器和声化学技术都是化工过程强化的重要手段,但都有优缺点。阐释了“声化学微反应器”的理念——微反应器和声化学技术相互集成,利用超声强化微通道内的混合、传质和预防堵塞等,同样借助微反应器实现声场和气泡场的有效调控并解决声空化过程的放大难题,实现协调强化的目的。同时,深入剖析了声化学微反应器内的声空化行为、声场和气泡场调控规律,以及多相流动体系中的混合与传质强化机制。最后展望了该领域的发展方向,并指出超声空化过程中表界面时空尺度现象和理论是实现并优化超声强化的基础。

我国经济可持续发展和生态文明建设对化学工业的能耗、环保、安全提出了新的要求。化工过程强化是实现化工过程高效、节能、环保、安全的重要手段[1]。作为两种典型的过程强化技术,微反应器和超声虽然在减小反应器体积、提高过程安全性和能量效率上有优势,但迄今仍鲜有大规模成功工业化的实例,主要是由于这两种强化技术都有其劣势。研究表明微反应器和超声强化技术存在互补性,即可用一技术的优点解决另一技术的缺点,两者结合具有协同强化效果。因此,本文提出将这两种强化技术集成,形成一种更高效、更稳定、更有工业化前景的过程强化技术——声化学微反应器。

微反应器是指内部结构的特征尺寸在亚毫米尺度的流体设备。与传统大型化工设备相比,微化工设备具有体积小、比表面大、热质传递速率快、操作安全、易于放大等优点,使微反应(器)技术成为最具应用前景的化工过程强化技术之一。但微反应技术在工业化开发过程中也存在一些亟待解决的技术难题,微反应器内的流体通常处于层流状态且受表面张力作用显著,其混合传质速率相对较慢。常用的解决办法是将微反应器的内部通道设计成弯折、分支交叉等特殊结构,使流体在局部产生涡流以强化混合。但这种微反应器加工成本高、压降大、操作弹性差;同时,复杂的内部结构和小特征尺寸使微反应器更易被固体颗粒或黏稠物堵塞,尤其在弯折、分支交叉等结构处。解决这些问题最有效的办法是引入外加的机械搅拌,在通道中产生局部对流以防止和疏浚堵塞、进一步强化混合与传质。但传统的机械搅拌方法在微反应器中难以实现,因此,最为理想的解决方案为引入诸如电场、电磁场、声场、超重力等外场。分析认为最适合引入微反应器以实现机械搅拌作用的是超声场。因超声穿透性好、能量密度高、安全可靠,且其声空化作用已被广泛应用于传统化工设备中混合、传质以及化学反应的强化。若能将超声引入微反应器中,其声空化效应不仅可以解决微反应器的堵塞问题,还可强化混合传质、增加操作弹性。同样,声化学技术(利用超声促进化学反应)也可借助微反应器以更有效地解决其面临的问题——实现声场和气泡场的有效调控,并解决声空化过程的放大难题。

声化学的作用机理主要是超声空化,即液体中微气泡核在超声作用下振动、生长和崩溃的过程。超声空化将分散的超声波能量聚集到气泡附近,产生剧烈声流、冲击波、微射流以及局部高温高压。声流、冲击波、微射流引起流体湍动,进而强化混合与传质——超声的机械效应;局部高温高压导致自由基生成或促进分子裂解,从而改变反应机理、路径、提高反应收率——超声的化学效应。

大量研究证实声化学技术在乳化、萃取、降解、催化等过程中具有强化作用,但迄今鲜有大规模工业化应用的实例。由于声空化是一个复杂、随机、非均布的动态过程,在大型反应器中产生的机械和化学效应难以调控,进而导致整个声化学过程效率低、重复性差、能耗高。因此,反应器内声空化过程的有效调控是实现传质和反应过程强化的关键。研究发现将微反应器与声化学技术结合——集成为“声化学微反应器”(图1),利用微反应器体积微小、气液流型规则、易于放大等优点,可对声空化过程进行有效调控,实现传质和反应过程的高效强化。

图1声化学微反应器理念的内涵

1声空化行为及其调控

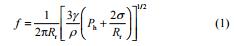
研究声空化行为是实现声空化过程调控的关键。如图2所示,对于单个空化气泡,超声强度很低时,气泡发生径向线性振动(体积振动模式),并发射二次声波引起声场的重新分布;随声强增大,气泡产生剧烈非线性振动(形状振动模式),一部分超声能量转化成空化声流、热损失以及少量光发射;声强大于空化阈值(水中约3W·cm?2)时,气泡振动加剧,并崩溃瓦解,产生局部的高温高压(高达5000K和100MPa),同时释放剧烈的冲击波、微射流、光发射。声强低于空化阈值时气泡长时间振动称为稳态空化,高于空化阈值时气泡快速崩溃称为瞬态空化。研究表明,气泡空化行为与其直径及超声频率有关。对于常见的超声频率,直径在1~1000μm区间(也称响应区间)的气泡有明显的振动行为,其中以共振尺寸附近的气泡振动最为强烈。虽然一个工作频率可对应多个共振尺寸(对应不同的振动模式),但其中Minnaert共振尺寸(Rt)响应最为显著,其与频率f存在如下关系

w2.jpg

对于常压下的水-空气体系,当气泡半径大于10μm时,式(1)简化为fRr≈3.3kHz·mm。对于20kHz和100kHz的常用超声频率,对应的气泡共振尺寸(直径)分别在330μm和66μm左右。可见对于大多数声化学反应器,只有直径在50~500μm附近的气泡的声空化行为最为强烈,声空化效果最好。

图2单个气泡的声空化行为

2单个气泡的声空化行为

声化学反应器中的声空化是非均布的声场和气泡场相互作用的复杂过程(图3)。首先,反应器内空化气泡形态和位置呈时空动态变化。液体中的小气泡核在超声作用下或经定向扩散和聚并慢慢长大,或被液体溶解而消失。在声场辐射力和流体流动的作用下,气泡无规则移动,一部分气泡合并成大气泡,另一部形成气泡团簇;声强很大时,部分气泡将发生瞬态空化而瓦解成小气泡,这些小气泡或将成为新气泡核继续参与空化过程??杉?,实际反应器中的气泡场呈现多尺度现象,不仅有微米级小气泡和毫米级大气泡,还有不规则的气泡团簇,只有近共振尺寸(50~500μm)的气泡才有较好的声空化效果。同时,声化学反应器内声场分布也不均匀?;荒芷鞣涿娓浇∏慷雀?,空化气泡多、声空化作用强,甚至会造成空化屏蔽和反应器壁面腐蚀;远离换能器区域声强低,空化气泡少、声空化作用弱。反应器中声场不均匀分布会直接影响气泡场的分布,而气泡或气泡群的空化行为也会散射或屏蔽声波,加剧声场的不均匀性。不均匀的声场和气泡场动态耦合叠加,使声空化效应分布不均且不可控,导致整个声化学过程效率低、重复性差、能耗高

图3反应器中声空化行为——复杂声场和气泡场的动态耦合

3反应器中声空化行为——复杂声场和气泡场的动态耦合

声化学研究者们已意识到了这一问题,提出了各种新型声化学反应器以调控声空化过程。在声场调控方面,常用方法是于釜式反应器不同位置粘接多个超声换能器,通过声辐射的叠加使声场更为均匀;也可利用管式、塔板式反应器等将声化学过程变成连续操作,以减小反应器体积,提高声场的均匀性。对于气泡场调控,通过调节操作参数以抑制大气泡生成、减少小气泡数量。另外,通过喷嘴或多孔板在反应器中人为导入气泡以增加气泡数量、强化声空化效果。这些方法在一定程度上能增加声场和气泡场的均匀性,但有效性和均匀程度仍有待提高。如通过喷嘴或多孔板在反应器内导入气泡的方法,由于喷孔直径通常比较大,产生的气泡大多在毫米至厘米尺度,远远偏离共振尺寸,因此其声空化效果的调控有限。

除了上述介绍的各种新型声化学反应器外,超声微反应器也可有效调控声场和气泡场。从导入气泡的角度,微反应器内部微通道结构的特征尺寸在微米至毫米量级,恰与空化气泡的共振尺寸区间(50~500μm)重合;微反应器内的气-液流型均匀稳定,易产生尺寸均一的气泡,因此可有效调控气泡场的均匀性。利用连续流操作和减少反应器体积以调控声场的思路,微反应器是典型的连续流反应器,同时体积小,厚度通常只有几厘米[小于常用的20kHz功率超声的波长(水中波长7.5cm)],因此超声微反应器是一种声场十分均匀的理想的近场反应器??杉в胛⒎从ζ鹘岷?,可有效调控声场和气泡场,以实现均匀高效的声空化过程。此外,利用微反应器易于并行放大的特点,还可以将这些过程快速推广到工业应用。

2声化学微反应器中声空化过程的调控

 

基于声化学微反应器的理念,从声空化过程调控(声场和气泡场调控)的角度,对目前文献中报道的超声微反应器进行总结和归纳。

声场调控——超声微反应器结构设计

超声微反应器的结构设计是微反应器与声化学结合的硬件基础,也是微反应器中声场调控的关键。目前大多数超声微反应器通常将超声压电片直接粘贴在微反应器外表面,将超声能量传导进入反应器。Kuhn等提出了一种新型的压电片式超声微反应器,用两块不锈钢板将压电片夹到聚四氟微反应器板中。这些超声微反应器由于压电陶瓷片抗张强度差,在大功率工作状态下易发生破裂,且输入的超声功率比较低,只能用于生物分析和微流控芯片领域。在化工领域,微反应器体积相对较大、流体处理量大,单独压电片输出的超声强度往往无法在所有的通道中取得较好的强化效果。

 

在功率超声领域,夹心式超声换能器由于具有功率大、能量效率高、散热好、压电片不易破裂等优点,在超声清洗、超声加工、声化学处理等领域已得到广泛应用。一些研究者也将大功率夹心式换能器引入到超声微反应器的设计中。将夹心式超声换能器与微反应器耦合的最简单方法是将微反应器直接浸入超声清洗槽中,因为清洗槽的超声波正是由位于其底部的夹心式换能器产生。许多研究者用该方法来防止微反应器中的颗粒堵塞。Aljbour等利用该方法强化水解反应过程中有机相与水相之间的传质。这种直接把微反应器浸泡在清洗槽中的方法不仅简单方便,而且由于微反应器的尺寸比清洗槽小很多,微反应器内的声场往往比较均匀。但该方法的超声能量传递效率不高,大量能量消耗在清洗槽的液体中,进入微反应器的能量只是超声清洗槽输入总功率的一小部分。

为了提高超声能量从夹心式换能器传输到微反应器中的效率,研究者提出了一些解决办法。Hubner等将微反应器和夹心式换能器变幅杆的前端放入一个装满水的高压釜中(0.45MPa),利用高压水将超声能量从换能器传导进入微反应器。由于水在高压时不易被空化,该反应器的能量传递效率比超声清洗槽高。但该装置庞大、操作复杂;由于超声在传播进入微反应器时经过了两个液-固界面的反射,传递效率仍然比较低。龙沙公司发明了一种将超声波导入微反应器的方法,并将其成功用于工业化过程的堵塞预防中。该方法通过一个耦合装置将超声从换能器直接传输到与其接触的工艺流体中,并通过流体将超声能量导入微反应器。由于超声在工艺流体中衰减比较快,该方法只能在微反应器的局部(如入口或出口)引入超声。另外,换能器产生的一部分超声波也会传播到与其连接的耦合装置以及管线中,造成能量损失和设备磨损。

 

上述基于夹心式换能器的超声微反应器虽然输出功率大,但都是通过液体介质将超声波从换能器表面传输到微反应器,能量效率低,且微反应器中的声场分布往往不均匀?;谝陨戏治觯?/span>Dong等[3]研究发现如果将夹心式换能器与微反应器直接耦合,即换能器表面与微反应器外表面直接粘接在一起,则能避免超声在液体媒介和固-液界面处的能量损耗,大幅提高能量效率?;诩行氖匠荒芷鞴ぷ髟砗蜕杓评砺郏珼ong等设计了一种全新的、高效的大功率超声微反应器(图4),即将夹心式换能器和微反应器直接耦合在一起,并通过结构优化设计使其在纵向形成一个半波振子(1/2波长的驻波),微反应器正好处于该驻波波腹附近,超声强度最大且分布均匀[图4(a)]。ANSYS数值模拟的声场分布图[图4(b)]证实整个超声微反应器的振动在纵向形成了一个半波驻波,且微反应器处于振动幅度最大的波腹处,整个微反应器平面振动分布均匀。利用阻抗分析仪测量该超声微反应器的阻抗曲线,发现其谐振频率都在理论设计的20kHz附近;且功率因素比较高,在500~1000之间。利用标准量热法测量了超声微反应器内的功率密度,输入总功率为5~50W时,反应器声功率密度为0.03~0.3W·ml?1,与传统声化学反应器功率密度相近。

图4超声微反应器、振动位移分布及实物图(标尺为10mm)

4超声微反应器、振动位移分布及实物图(标尺为10mm)

气泡场调控——声空化效果优化

 

超声空化的气泡核一般来自于液体中溶解的气体,或反应器壁面吸附的小气泡。由于微反应器内的液体持有量和通道表面积较小,所含的空化气泡数量少。为了保证超声强化的效果,需要人为地增加微通道中空化气泡的数量,以调节气泡场、增强超声空化活度。

调节气泡场的最常用方法是通过在微通道中加工微孔或凹槽,束缚或产生特定尺寸的气泡、增加空化气泡的数量。Tovar等提出了“侧腔声驱动器”的概念,即在微通道侧壁加工腔室或凹槽,当液体进入微通道后,部分空气被束缚在腔室或凹槽内形成气泡;施加一定频率的超声时,气泡在超声作用下产生剧烈振动和声流,可实现混合流体或驱动流体运动。Ahmed等也借助“侧腔声驱动器”方法在微通道内壁加工一些长90~240μm、宽60~90μm、深155μm的凹槽;施加70~82kHz超声时,凹槽中气泡在超声作用下产生剧烈振动,并在其附近形成剧烈声流旋涡以促进混合。Rivas等将加工有多个直径30μm、深10μm微孔的硅片放入反应器中,发现这些微孔束缚的气泡在200kHz超声作用下撕裂成大量的微气泡束,使声空化的自由基生成速率显著提高?;诟梅椒?,Rivas等发明了一种利用微孔袋增强超声清洗机清洗效果的技术。

通过微孔槽束缚或产生气泡的方法在一定条件下能达到较好的效果。但要在整个微反应器空间内都引入气泡,需要加工大量的微孔或凹槽结构,加工成本高。另外,流量较高时,气泡很容易被流体冲走;超声作用一段时间后,气泡也容易被振碎或溶解,从而影响气泡场的稳定性??杉枰菇ㄒ恢旨虻ヒ仔星夷芰罅科莸姆椒?。最近,Ozcelik等采用增加微通道壁面的粗糙度以增加空化气泡的数量,达到超声强化的效果。Tandiono等通过在微通道中引入气-液弹状流,空化气泡显著增加。在微通道(宽100μm、深20μm)中通入空气和水形成气-液弹状流,施加100kHz的超声后,发现弹状气泡两端的气-液界面在超声作用下发生剧烈振动,撕裂出大量空化气泡,随后发生瞬态空化,产生大量自由基并释放强烈的光发射。由此可见,通过增加通道壁面的粗糙度和引入气-液弹状流或泡状流,都能显著增加通道内空化气泡的数量,以调控气泡场、增强超声强化效果。Dong等基于该方法,将超声微反应器用于气-液两相传质过程的强化,微通道中排列规则、尺寸均一的弹状气泡不仅可以是参与该气液过程的原料,还是理想的声空化气泡,产生剧烈的表面波振荡和声流现象,大幅提高气-液传质速率。

3声化学微反应器的应用

 

-液均相混合过程强化

根据强化混合的声流机理,超声微混合器可分为Eckart声流、Rayleigh声流、声表面波引起的声流、空化声流4种。其中声空化引起的声流速度快、范围广,且激发频率低、热效应小,最适合在微反应器中应用。Ahmed等将压电片换能器粘贴在微反应器芯片的旁边,并在微通道内壁加工凹槽以束缚气泡;当施加频率70~82kHz的超声时,气泡在超声作用下产生剧烈振动,并在其附近形成剧烈声流旋涡以促进混合,在流量3~16μl·min?1内可将混合时间降低至7~120ms。Wang等[54]利用类似方法,发现超声频率在27.1~91.3kHz之间频繁切换,能进一步增强空化气泡声流的扰动效果,增强超声微混合器的混合性能。Ozcelik等构建了类似的超声微反应器,发现增加通道壁面粗糙度有利于增强混合效果。超声作用下,粗糙的通道壁面产生大量空化气泡,在超声作用下剧烈振动和运动,产生各种声流和涡流。研究表明,对于高黏度PEG溶液(34.2~55.8mPa·s),该超声微混合器也能实现快速混合,流量1~30μl·min?1范围内,混合时间小于100ms。

图5微通道中不同半径气泡的微观空化行为(每列的9张连续图片选自于拍摄帧速80000帧/秒、曝光12μs的视频。图片的时间间隔为12.5μs。图片底部标出了不同半径气泡的振荡模式)

5微通道中不同半径气泡的微观空化行为(每列的9张连续图片选自于拍摄帧速80000帧/秒、曝光12μs的视频。图片的时间间隔为12.5μs。图片底部标出了不同半径气泡的振荡模式)

Dong等利用其开发的高效大功率超声微反应器,研究了混合强化的机理和效果。采用高速摄像机和显微镜拍摄液体中空化气泡的生成、振动、生长等行为。结果表明,施加超声后,微通道中瞬间出现大量空化气泡,并缓慢长大;同时,气泡在通道壁面剧烈跳动,气泡表面产生严重变形,甚至撕裂出小气泡。为了表征气泡的微观空化行为,Dong等拍摄了不同尺寸气泡的超高帧速(80000帧/秒)振动视频。如图5所示,对于半径5~20μm的小气泡,主要发生体积振荡模式,随激发超声呈周期性膨胀收缩。对于稍大的气泡(半径40~50μm),形状振荡模式被激发,伴随明显表面形变。随着气泡半径的增大,形状振荡模式变得更剧烈,甚至破碎成小气泡(图5的第4列所示)。当气泡半径接近共振尺寸(半径150μm)时,气泡振荡的不稳定性增加,从稳态空化变成瞬态空化。气泡在激发超声的压缩相剧烈坍塌,并在随后的膨胀相中喷射出小气泡或直接撕裂成众多小碎片。实验中,一些大于共振尺寸的气泡也偶尔出现。大气泡在超声作用下很难塌陷,主要发生形状振荡模式,其表面有明显的表面波振荡。采用粒子示踪实验,研究超声作用下微通道内流场演变规律。未加超声时,通道内流体运动轨迹为直线,呈明显的层流特征。当超声功率增加到20~30W时,通道中出现了大量空化气泡。这些气泡剧烈的振动、跳动,同时在其附近产生声流旋涡;这些机械作用扰乱了原有的层流流动,形成了复杂的动态变化的流场,进而显著增强了流体混合。将荧光素钠溶液和去离子水分别泵入微通道中,拍摄两者混合时荧光强度的分布变化。通过计算荧光灰度值的方差随通道长度的变化,可获得混合时间,如图6所示。未加超声时,流体达到完全混合需24~32s;施加超声后,混合时间仅为0.2~1.0s。超声功率越大,混合时间越短。在较宽的流量范围(0.2~5.0ml·min?1),超声对混合过程的强化效果都保持稳定。将超声微反应器的混合时间和能量消耗与常规的微反应器进行对比,发现超声微反应器的能量效率与常用的T型微反应器相当,比一些复杂构型的微反应器高,如图6(b)所示。

图6不同超声功率和流量下微通道内的混合时间及不同微反应器的混合性能比较

6不同超声功率和流量下微通道内的混合时间及不同微反应器的混合性能比较

-液传质过程强化

化工过程中常涉及液-液互不相溶两相体系,如液-液萃取、相转移催化、乳液制备等。与常规尺度液-液两相流动系统相比,微尺度下可以实现两相的快速传质,因此具有广泛的应用前景。Zhao等以水-琥珀酸-丁醇为模型反应,系统研究了微通道内不相溶液-液两相的传质特性,发现微反应器内的总体积传质系数比传统反应器高1~2个数量级。微反应器的强化传质性能源于其亚毫米级的通道结构(数十到数百微米量级),相同的能量输入条件下,微反应器能够产生比传统设备高数倍至数百倍以上的相界面积。由于微通道内两相流体界面张力成为控制因素,且难以引入有效的机械搅拌;液-液两相之间的混合速度并不快,单位接触面积的传质系数并不高。因此,如何实现液-液两相流体在微通道内的快速混合是一个重要课题。

将超声引入微反应器中,是一种有效强化液-液两相的混合与传质的方法。声场在液体介质中引起声空化效应,空化气泡在溶液中剧烈振动(图5),并伴随着空化声流;振动的空化气泡扮演着遍布于微通道各处的搅拌子角色,极大地促进液-液两相的混合。Freitas等通过换能器与管式微反应器耦合,将声能引入微通道内以制备水包油乳液。如图7所示,入口的预乳液中油滴尺寸为50~200μm,经过超声微反应器后,平均液滴尺寸下降了两个数量级,尺寸减小到0.5μm。John等将这种超声致乳的作用归结为超声的空化效应。由于空化气泡的搅拌作用,不相溶两相在超声微反应器内发生了乳化,两相接触面积增加且传质速率增大。John等以乙酸对硝基苯酯的水解反应为模型反应,对比了微反应器内引入超声与否对收率以及传质系数的影响。结果表明,施加超声后(20.3kHz),反应收率显著提升,且停留时间越长,超声的强化效果越显著。在液相流量0.1ml·min?1条件下,收率最大强化倍数达到2.5倍,总体积传质系数增强5.3倍。

图7Freitas等制备的水包油乳液光学图像

7Freitas等制备的水包油乳液光学图像

Zhao等系统地研究了超声微反应器内的空化致乳过程和机理,测量了其液-液传质性能。施加超声后,在溶液中引起了剧烈的空化效应,促进了不相溶液-液两相的乳化。如图8所示,以水-油两相流为例,油相中的空化气泡在声压辐射力作用下,并非立即随油相向下游流动,而将接触并穿越水-油相界面。越过液-液界面后,由于水-气界面张力大于水-油界面张力与油-气界面张力之和,空化气泡表面会包覆一层油膜,产生水包油包气的双层乳液结构。当超声强度较低时,空化气泡的振动强度不足以将油膜振碎,油膜将会包覆气泡,直到再次接触水-油界面[图8(a)]。随着超声强度的增大,空化气泡的振动愈发强烈,油膜在空化气泡的振动下分散成小的油滴并逐渐分散于水相中,形成水包油的乳液[图8(b)]。声空化产生的乳液增大了两相间的相界面积并减小了传质路径,同时空化气泡的振荡和运动强化了流体的混合,使得两相传质速率得以显著增强。为了定量表征传质强化的效果,Zhao等进一步利用辛醇萃取水相中罗丹明B的实验,测量并计算得到了超声微反应器的总体积传质系数。未施加超声时,随着液相流速增加,体系的总体积传质系数由6.8×10?3s?1增加至15.3×10?3s?1。施加超声后,随着声能的增加,空化气泡的振荡强度增大,两相乳化愈发剧烈。相界面积增大,流体中的混合效果增强,反应器的总体积传质系数随之增加。总流量0.6ml·min?1,超声功率20、30W条件下,传质甚至达到平衡。与未施加超声状况相比,传质系数提高了1.3~2.2倍。

图8超声微反应器内的空化致乳效应

8超声微反应器内的空化致乳效应

-液传质过程强化

-液传质过程是一个重要的化工操作单元?;Чひ抵泄惴捍嬖诘难趸⒓忧?、氯化、氟化、吸收等过程多为气-液两相体系。在传统反应器中,超声已被广泛用于多相传质和反应过程的强化。Kumar等测量了一个超声探头式反应器、超声槽式反应器和机械搅拌接触器的气-液传质性能,发现相同功率密度条件下,探头式反应器中超声对传质系数提高(50%~110%)比槽式反应器(20%~50%)中明显;但两者的传质性能都远低于机械搅拌接触器。他们将传质强化的原因归结为超声作用下产生的流体湍动减小了气泡的尺寸;而由于机械搅拌产生的对流对气泡的分散作用可能更明显,机械搅拌接触器的传质性能更高。Laugier等研究了一个装配有超声换能器和机械搅拌桨的高压反应釜中气-液传质动力学,认为超声对传质过程的促进主要是因为超声作用时气泡破碎,从而提高了气-液接触面积。Herran等将超声探头插入到鼓泡塔反应器中,考察了反应器直径和液位高度对超声鼓泡塔中氧气吸收过程的影响,发现超声对传质过程的促进只有在小反应器体积时才明显,此时的功率密度较高(大于0.4W·ml?1),总体积传质系数提高了10%~30%。由此可知,超声有助于促进气-液传质,超声导致的湍动和气泡尺寸减小等宏观机理已有初步认识。但不同文献中超声强化气-液传质的幅度差别较大,且其强化的微观机理——超声与气相的具体作用过程尚未澄清。这主要是因为在这些传统大型反应器中声场和两相流场复杂且分布不均匀,因此很难观察单个气泡在超声作用下的运动行为[25-26]。由于缺乏对该强化机理的了解,使超声强化的效果不可控、重复性差、能量效率低,特别是与机械搅拌式反应器相比。超声气-液微反应器正好能解决这些问题。相比传统大型反应器,微反应器中的气-液流型更稳定、均匀、可控,且可在线观察。此外,微反应器体积小,其内部的声场分布较均匀?;谡庑┯攀?,超声微反应器提供了一个研究超声-气泡相互作用行为、调控超声强化效果的理想平台。

Dong等利用其开发的高效大功率超声微反应器强化气-液传质过程,并研究其强化机理。首先利用高速摄像机和显微镜,直接拍摄微反应器内空化气泡的振荡、运动行为。由图9可见,在超声功率最低时,气泡径向膨胀收缩,处于体积振动模式。随功率增加,出现表面波振动,初始的表面波呈严格周期性,周期100μs,为激发超声周期(50μs)的两倍。换言之,表面波振荡的频率为激发频率的1/2,与法拉第波特征频率相符。随后多个模式表面波被激发并相互耦合,气泡表面呈不规则态。功率进一步增加,表面波振动幅度增大、模式间耦合增强,气泡表面呈剧烈无序振动——混沌波模式。实验测量表面波的波长为(163±10)μm,与毛细波的理论波长相符。研究了微通道特征尺寸(宽×深:1.0mm×1.0mm、0.5mm×0.5mm、0.5mm×0.25mm)的影响规律,发现通道尺寸越小,表面波激发所需功率越大,相同功率下气泡表面振动越弱,即存在限域效应。采用粒子示踪法,发现气泡附近出现两个空化声流旋涡。超声功率越大,声流旋涡速度越快、范围越大,最大声流速度可达0.03~0.04m·s?1,范围扩展到离气泡表面0.4mm处。气泡附近剧烈声流与通道中原有流场相互强烈耦合作用,可显著强化两相流体间混合与传质。

图9超声作用下微通道内弹状气泡运动行为(标尺250μm)

9超声作用下微通道内弹状气泡运动行为(标尺250μm)

ong等进一步采用在线测量法研究了超声微反应器的传质特性。以CO2在水中的物理吸收过程为模型体系,通过在线测量气泡长度随通道位置的变化,可由单元传质模型拟合得到总体积传质系数,结果如图10所示。由图可知,施加超声后,反应器的传质性能大幅提高,功率越大传质系数越大。MR1(1.0mm×1.0mm)中,功率50W时,传质系数提高了20倍,MR0.5(0.5mm×0.5mm)和MR0.25(0.5mm×0.25mm)中也提高了3~5倍。对超声强化传质过程进行定量分析,发现超声在气泡上激发的表面波振动可增大气液接触面积,而气泡附近声流增大了两相滑移速度、促进了表面更新,从而增大了传质系数(图11)。结果表明,超声作用下,气-液相接触面积增大了30%~160%;传质系数k最高可增加90%~650%。这两方面的共同作用,可显著强化超声微反应器中气-液传质过程。表1分析了超声微反应器与其他反应器的气-液传质性能,超声微反应器的总体积传质系数比常规超声反应器高1~2个数量级。这主要因为超声微反应器中声场和气泡场的分布更均匀,声空化过程更可控、更高效。对比超声微反应器和常规微反应器的传质性能,发现超声微反应器的总体积传质系数与Yue等的直通道微反应器相当,高于康宁心形结构微反应器。具体分析,对于传质系数,超声微反应器的比直通道微反应器高,与心形结构微反应器相当;对于比表面,超声微反应器与直通道微反应器相当,比心形结构微反应器大。通道越小,比表面越大。Yue等报道的微反应器的通道尺寸与本文所用的超声微反应器接近,而两者都比心形结构微反应器的通道小。对于传质系数,其与通道结构、流动状况以及气速、液速等因素相关。心形结构微反应器通过心形障碍结构在通道中引入二次流,而超声微反应器中有声流的存在,两者都能促进气-液界面附近的流体更新,从而提高传质系数。

图10超声微反应器中气液传质系数随功率的变化

10超声微反应器中气液传质系数随功率的变化

图11超声微反应器中气液传质强化的机理

11超声微反应器中气液传质强化的机理

超声疏浚

将超声引入微反应器中,不仅是有效强化流体混合与传质的手段,也是一种通用性强、有效性高、能防止和疏浚堵塞的方法。事实上,在传统设备中,超声已被广泛应用于清洗各种零件和管道表面的污垢、颗粒、堵塞物等;实验室常用的超声清洗机就是一个很好的例子?;诖?,一些学者和工程师开始把超声引入到微反应器中,以预防和疏浚微通道的堵塞。Hartman等将PFA毛细管(内径500~1000μm)微反应器浸没于超声清洗槽中,考察超声辐射对芳基氯的氨基化反应(伴有氯化钠晶体的析出)堵塞情况的影响。研究表明,未加超声时,反应器的压降数分钟内开始急剧上升,10min左右完全堵塞;施加超声时,微反应器的压降一直维持稳定,可平稳运行数小时。若关闭超声清洗机,发现压降不久后急剧上升,直到反应器堵塞。Noёl等将该方法用于多种不同底物的氨基化反应,发现超声清洗槽均能有效防止副产物晶体的堵塞。

Horie等将超声和分段流两种方法结合,以防止光二聚反应过程的堵塞。该反应过程中顺丁烯二酸酐(MA)在光催化下二聚成为CBTA;CBTA与常用的有机溶剂均不相溶,反应过程中以沉淀形式析出。为了防止CBTA沉淀物堵塞毛细管微反应器,在入口处通入一股氮气,使反应器中形成气-液两相流,以减弱沉淀物对管壁的黏附。同时,将光化学毛细管反应器置于超声清洗槽中,利用超声空化作用进一步防止堵塞。研究表明,该系统能连续稳定运行16h以上。Castro等将该方法成功用于羟基磷灰石纳米颗粒的合成过程,发现超声还能防止颗粒的团聚,使纳米颗粒的粒径分布更均匀。

Dong等利用其开发的高效大功率超声微反应器,以两个固体颗粒形态和粒径不同的易堵塞过程——碳酸锌沉淀反应和硫酸钡合成过程为例,来研究超声疏浚堵塞的效果。硝酸锌和碳酸钠反应生成碳酸锌的沉淀反应过程中,如图12所示,未加超声时反应器的压降波动很大,频繁出现陡峰,直至完全堵塞;碳酸锌沉淀物为无定形的絮状团块,推断该堵塞过程以桥连主导。通道堵塞时施加超声,发现压力立即恢复稳定、反应器疏浚??杉苡行杩:驮し捞妓嵝砍恋砉痰亩氯8咚偕阆袷笛楸砻?,超声疏浚堵塞的机理为空化气泡的剧烈运动和搅拌作用。氯化钡与硫酸钠反应合成硫酸钡过程中,反应器的压降持续平滑上升,直至完全堵塞;硫酸钡沉淀物主要为多晶颗粒,粒径小且相互黏附性较弱,推断该堵塞过程以缩窄机理主导:小颗?;郝粱谕ǖ辣诿妫雇ǖ赖挠行Я魍ǔ叽缰鸾ニ跽?。超声施加后,壁面沉积的颗粒被空化作用逐渐剥离,堵塞被疏浚。根据TEM表征结果,超声作用后硫酸钡颗粒变得更小、更均匀,形貌也从树枝状团块变为类球形颗粒。这主要归结于超声空化作用对微观混合、停留时间分布的强化,以及对粒子团聚的抑制。

图12碳酸锌沉淀反应过程中压降随时间的变化曲线

12碳酸锌沉淀反应过程中压降随时间的变化曲线

4总结与展望

微反应器和声化学技术都是化工过程强化的重要手段。研究表明超声可以有效强化微反应器中的混合、多相传质以及防止堵塞等,微反应器也具有增加声场均匀性、调控声空化过程的优势。声化学微反应器——将微反应器和声化学这两个过程强化技术的协同结合,利用彼此之优势以解决彼此之劣势,是过程强化方法和设备的发展方向。

虽然已有研究验证了“声化学微反应器”理念的有效性和优越性,但在机理分析和应用方面仍有待深入。超声空化过程中表界面时空尺度现象和理论是实现并优化超声强化的基础,需要进行深入研究和探索。超声空化过程存在显著的介尺度行为,深入开展声空化过程气泡界面介尺度结构形成、演变与调控机理,探明超声微反应器中介尺度结构对传递-反应耦合的作用机制,研究开发超声微反应系统中化学反应的强化及新工艺过程,提出相关反应过程调控的新方法和新途径,为实现反应过程强化和发展新型高效的反应工艺提供理论基础。

文献链接:DOI:10.11949/j.issn.0438-1157.20171366

(文章来源:董正亚 陈光文 赵帅南 袁权《声化学微反应器——超声和微反应器协同强化》科学网科学网转载仅供参考学习及传递有用信息,版权归原作者所有,如侵犯权益,请联系删除)

关键词:微反应器;超声;微流体;混合;传质;介尺度



标签:  微流体 微反应器