基于流动聚焦结构的微液滴形成机理(下)
2.液滴生成影响因素分析
2.1 两相流速对液滴体积大小的影响
连续相和分散相的流速是控制最终生成的液滴大小的关键因素。本文通过仿真和实验研究了连续相流速(U)和分散相流速(U。)对生成液滴尺寸的影响。一定范围内,连续相的流速增大,生成的液滴尺寸会减小。因为连续相流速的增加会使连续相的剪切速率和流体的惯性力随之增大,减小了夹断液滴的用时,而分散相流速是恒定的,因而所生成液滴的体积会减小。连续相流速对液滴大小影响的仿真与实验结果如图3所示。图中L/w为微液滴的长宽比。
图3连续相流速对液滴大小影响的仿真与实验结果
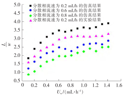
分散相流速对液滴大小影响的仿真与实验结果如图4所示,微液滴的体积随着分散相流速的增大而增大。原因在于分散相对连续相的阻力会随分散相流速的增加而增大,所以连续相夹断分散相所需的时间会增长,所生成液滴的尺寸自然就会变大。
图4分散相流速对液滴大小影响的仿真与实验结果
综合分析图3和图4的仿真结果得出:连续相和分散相的流速比越大,所生成的液滴体积越小。对于本课题,由于生成的是油包水的微液滴,因此当油相和水相的速率比越大,生成的液滴体积越小。在液滴形成的膨胀阶段,液滴形成的快慢主要由分散相决定;而在液滴颈部的夹断阶段,液滴颈部被夹断并最终形成液滴的快慢则由分散相和连续相的流速共同决定。数值模拟与实验结果相一致,验证了理论分析的正确性。仿真与实验结果如图5所示。
图5 两相流速比对液滴大小影响的仿真与实验结果
2.2连续相黏度对生成液滴尺寸的影响
在仿真分析中,设定连续相流速为0.6mL/h,分散相流速为02mL/h,分散相黏度固定为0001 Pa·s,连续相黏度由Q005增至Q02 Pa·s,连续相的黏度越大,生成液滴的体积越小。当连续相和分散相的流量恒定时,连续相的黏度越大则黏性力越大,可以加速夹断液滴颈部的过程,从而缩短了液滴的形成周期。图6为连续相黏度对液滴体积大小影响的仿真与实验示意图。
图6连续相黏度对液滴大小影响的仿真与实验结果
结论
本文采用层流两相流模型利用水平集法开展了二维流动聚焦形通道内W/O液滴生成机理及影响因素的研究。流动聚焦法形成微液滴利用的是两相界面的毛细不稳定性。微液滴的形成可以分为液滴头部伸长和液滴颈部断裂两个阶段。分阶段显示,液滴的形成过程主要是连续相对分散相产生夹流聚焦效应,连续相对分散相的黏性力、剪切力及两相界面张力共同作用的结果。连续相和分散相的流速是影响液滴体积大小的关键因素之一。分散相流速一定的情况下,连续相流速增大,液滴的体积减小;连续相流速一定的情况下,分散相流速增大,液滴的体积增大。连续相和分散相的流速比越大,所生成的液滴体积越小。连续相黏度对液滴体积的影响也是非常明显的,随着连续相黏度的逐渐增加,所形成液滴体积明显减小。
免责声明:文章来源网络 以传播知识、有益学习和研究为宗旨。转载仅供参考学习及传递有用信息,版权归原作者所有,如侵犯权益,请联系删除。
标签:   微液滴
