微流控芯片制造工艺(下)
2.2 投影式曝光
为了克服遮蔽式曝光的掩模损伤问题,出现了投影式曝光设备:
此类设备可将掩模上的图形投影到距离掩模几厘米远的涂有光刻胶的晶圆上。每次只曝光掩模的一小部分,然后移至下一个芯片位置曝光,用扫描或分步重复的方法使小面积图形布满整个晶圆。
重点:分辨率的影响因素有哪些:
投影时,当掩膜上的尺寸比光的粒子性质大,效果就很好。但在较小的尺寸下,即掩模上的尺寸与光的波长相当,衍射效应占主导地位,即光的波动性。
艾里斑(Airy disk)是点光源通过衍射受限成像时,由于衍射而在焦点处形成的光斑。
艾里斑(Airy disk)
最中心的圆的直径为1.22λf/d。那么掩膜上2个很紧邻的特征会发生什么?
成像面上的A'和B'是否可分辨呢?这就引出了瑞利判据:
考虑衍射情况下的艾里斑,当2个物点过于靠近,则不可分辨;当一个物点正处在另一个物点的艾里斑的第一个暗环位置时,称为刚刚好可分辨的状态:
依据瑞利判据,有了投影系统分辨率(线宽)的公式:
lm=k1 · λ / NA
λ为曝光波长。
k1为工艺参数,包含光学邻近效应、光刻胶的化学成分、光刻系统的温度等多个参数。
NA为数值孔径,由下式给出:
NA=nsinθ
其中,n为成像介质的折射率,θ为光线在晶圆处汇聚成点像时的锥体顶角的一半
从分辨率公式 lm=k1 · λ / NA 可知,要提高分辨率,可以减小λ 、减小k1或增大NA。从上图也可以看到,θ的增大虽然会增大NA,但是也会让焦深DOF减小。
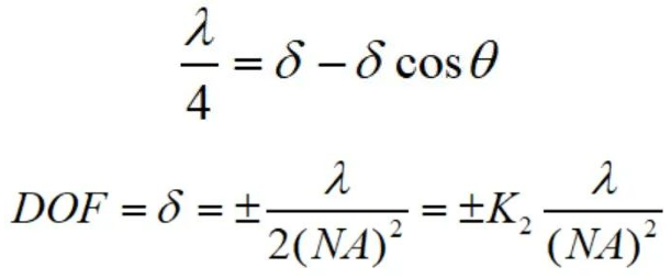
瑞利判据还有第二个限制条件是针对焦深DOF(δ)做出的,即:
所以,在优化过程中,需要综合考虑多方面因素。
3.光学光刻-提高分辨率:
3.1 减小λ:从436nm到13.5nm
3.2 增大NA
根据公式 NA=nsinθ 可知,NA由透镜的接收角和透镜周围介质的折射率决定。所以,有两个方向可以增大NA:
(1)优化镜片(改变sinθ)
在曝光波长缩短的同时,镜头设计的改进也导致曝光系统镜头的数值孔径(NA)得到改善,见图 。在八十年代中期,NA 值约为 0.4 ,后来248nm 曝光系统的 NA 大于 0.8。使用空气作为透镜和晶圆之间介质的曝光系统的 NA 物理极限为 1,实际极限约为 0.9.
(2)改变介质(折射率)--浸没式光刻
NA 由透镜的接收角和透镜周围介质的折射率决定?;诳掌南低车奈锢硐拗剖敲魅返模绻镁哂懈哒凵渎实慕橹蚀婵掌??多年来,显微镜一直在镜头和所观察的样品之间使用油来提高分辨率,令人惊讶的是,半导体行业花了很长时间才考虑用替代品替代空气。
3.3 减小K1:相移掩膜、光学邻近效应矫正、离轴照明、双重曝光
(1)相移掩膜 PSM
相移掩模(phase-shifting mask)原理如图:
传统的掩模,每个缝隙处电场的相位都相同,如图(a)所示。光学系统的衍射与分辨率的限制使得晶圆上的电场分布散开,如图中虚线所示。相邻缝隙处的衍射波相互干涉,增强了两者之间的电场。由于光强度I与电场的平方成正比,因此,若两个图形靠得很近,经过投影后就很难分辨了。将相移层覆盖在相邻缝隙处,则可以使其电场方向相反,如图(b)所示。因为掩模上的光强度未改变,晶圆上图形的电场可被抵消,所以两个靠得很近的图形也可以清晰地分辨。180°的相位变化可以通过在缝隙处添加一个厚度为d=λ/2(n-1)的透明层得到,其中n是折射系数,λ是波长。
(2)光学邻近效应矫正 OPC
光学邻近效应校正(optical proximity correction)是通过采用对邻近区域修正过的图形来提高图像的质量,可用于在一定程度上补偿衍射效应。
例如,若接近分辨率极限的方形接触孔刻出来像一个圆孔,则可在掩模方形接触孔的拐角处对图形进行修正,使它刻出来成为一个准确的方孔。
OPC还分为基于规则和基于模型两种:
(3)离轴照明
离轴照明即光源不在轴上:
“离轴照明”允许捕获一些高阶衍射光,从信息光学的观点看,掩模图形经投影物镜成像时,由于投影物镜的数值孔径有限,高频部分不能进入光瞳对成像无贡献,使硅片面上的掩模像的对比度降低,影响成像质量。由于0级衍射光不包含掩模图形的任何空间调制信息,所以要对掩模图形成像至少要包含1级衍射光。在投影曝光系统中掩模图形的空间像的对比度依赖于投影物镜中参与成像的1级衍射光的比例。离轴照明技术通过降低成像光束中的低频成分来提高高频成分在总光强中的比例从而提高了空间像的对比度,同时还可以提高焦深。
在IC工业中,仅收集m=0和+1(或-1)级衍射光。无需二阶。上图左边仅仅收集到了0阶衍射光,右边有了离轴照明后,可以收集到0阶和1阶衍射光。
离轴照明的形式有多种,比如下图中的环形照明和四极照明:
四极照明:对于线/空间图案最有效(取决于线方向,最适合垂直或水平线/空间图案),对于孤立特征效果较差。
环形照明:分辨率增强较少,但与方向无关。
(4)双重曝光
双重曝光是将掩模上的图案分成两个掩模,从而使特征之间有更大的分离。使用两个掩模将光刻胶曝光两次。
双重曝光的另一个优势是:同一布局中的不同特征(如不同颜色所示)可能需要不同的照明,因此需要不同的曝光。
虽然水平线和垂直线可以使用普通的四极照明(蓝色)来解决,但 45 度方向会受到影响,因为它们需要完全不同的四极照明(红色)。因此,要包括所有这些情况,需要单独曝光。
尽管上述的相移掩模、光学邻近效应校正、离轴照明等方法能弥补光学曝光的不足,但人们也在寻找新的曝光方法来完成纳米级的集成电路制造,比如电子束曝光、X射线曝光、离子束曝光、极紫外曝光等。此部分内容在下一篇中介绍。
免责声明:文章来源网络 以传播知识、有益学习和研究为宗旨。 转载仅供参考学习及传递有用信息,版权归原作者所有,如侵犯权益,请联系删除。
标签:   微流控芯片
- 上一条光刻胶的浸涂工艺
- 下一条微流控芯片制造工艺(上)
