栖凤楼论坛信息社区,良家论坛一品楼,一品阁楼论坛,万花楼论坛网

首页 > 技术资讯 > 技术学院

即时检测试纸内渗流理论及流动控制(上)

1.引言

纸是由纤维素和纤维素之间的孔隙所构成的多孔结构。纤维素通过机械或者化学制浆的方法从木料中分离出来,纤维素与水的悬浮物经过搅拌、过滤、丝网沉降、干燥等单元操作便形成了纸张。纸的孔隙结构和形貌具有各向异性和无序的特点(图 1)。在沉降过程中纤维素逐层堆积,一层内的纤维一般不会交织到邻近两层以外的层内,不同层间纤维素通过氢键连接,从而维持结构的整体性。各层内纤维分布的位置、方向和形貌都是随机的。单根纤维素的截面中空(图 2),其截面直径为几十微米(~20 μm),纤维长度为毫米量级(~2 mm)远大于截面尺寸。一般而言,纸在厚度方向具有 10 层左右纤维,在面内方向的特征孔隙尺寸为几十微米。

纸在许多应用中的性能都与其孔隙微结构内的流动特性相关。例如,办公用纸为保持表面光洁且不透光需要在表面喷涂微细颗粒进行修饰,纸的孔隙结构对喷涂料的渗流过程具有重要影响;墨料在纸孔隙内的扩散对印刷质量具有很大的影响;包装纸中气体的穿透性能也与孔结构密切相关。近年来,纸质微流控芯片被广泛应用于即时检测,具有快速、成本低和操作简单等优点,在疾病、环境和食品安全检测和监控等领域具有重大应用前景。这其中涉及到毛细力驱动下检测液体在试纸孔隙结构内的反应渗流过程,因此研究纸内渗流特性及其与微结构的关系对于解释检测结果和提高检测的灵敏度和准确度都有重要意义。本文主要概述了纸内毛细渗流理论和流动控制及其在即时检测应用中的研究进展。

纸表面微结构 

2.  宏观毛细渗流

2.1.  单向渗流

润湿液体在试纸内的自吸渗流由三相界面处的毛细力驱动,毛细力的大小由拉普拉斯方程确定:

拉普拉斯方程 

其中 σ 为液体的表面张力,θ 为接触角,r eff 为多孔介质的等效半径。饱和液体在试纸内的粘性流动阻力通过达西定律计算:

达西定律 

其中,μ 为液体的动力粘度;ε 和 K 分别为孔隙率和渗透率,两者都是多孔介质的结构参数,v 为流动速度,L 为已吸入试纸内液体的长度。将流速写成吸入试纸内液体的长度对时间的倒数并代入式(2)可得:

试纸内液体的长度对时间的倒数并代入式 

吸入液体的流动加速度仅在试纸与液体接触的初始阶段具有影响[3],如果忽略加速度引起的惯性力,吸入液体流动受毛细力与粘性力平衡控制:

吸入液体流动受毛细力与粘性力平衡控制 

(5)即为描述润湿液体在多孔介质中毛细渗流过程的 Washburn 方程,最早由 Washburn 考虑液体在毛细管内的上升过程推导得到[4]。式(5)表明吸入液体长度与时间的 0.5 次方成正比。Washburn 方程适用于纸片水平放置下的吮吸过程,当纸竖直放置时还需要考虑重力的影响,考虑毛细力、粘性力、重力平衡的控制方程为[5]:

毛细力、粘性力、重力平衡的控制方程 

液体沿纸面上升的过程中会从表面蒸发,蒸发导致纸内液体的流量(流速)增大,附加流量会产生附加粘性流动阻力,这部分附加阻力可采用达西定律描述,考虑毛细力、粘性力、重力、蒸发效应的控制方

程为[5]:

毛细力、粘性力、重力、蒸发效应的控制方  程 

(7)中最后一项为蒸发导致液体在纸内流动产生的达西粘性流阻,P 为纸的润湿周长,A 为横截面积。em&为湿纸面的蒸发速率——单位面积单位时间蒸发质量,假定为常量,即不随纸面位置和时间改变,其值取决于液体种类、温度、以及空气饱和度。

Washburn 方程及其改进模型假定液面所经过部分的孔隙内的液体完全饱和,孔隙内液体饱和度在吸入前缘位置存在跳跃变化,但实验观察发现在液体上升到一定高度后液体饱和度在吸入前缘附近存为梯度变化,通过求解 Richard 方程考虑非饱和液体在多孔介质中毛细吮吸过程。

2.2.  径向渗流

径向渗流考虑在多孔介质中心半径为 R 0 的区域不受限制供液,液体在毛细力驱动下在多孔介质内的径向扩散过程。为推导液体扩散半径与时间的关系,我们从达西定律出发:

其中 Q 为体积流量,A (= 2πRH)为横截面积,H 为纸的厚度。式(8)积分得到:

达西定律 

其中 Q 为体积流量,A (= 2πRH)为横截面积,H 为纸的厚度。式(8)积分得到:

达西定律2 

ΔP c 为毛细压差,R 为湿部多孔介质的半径。将体积流量(流速)写成湿部半径对时间的倒数:

达西定律3 

注意,式(10)及式(2)中的速度 v 为多孔介质孔隙平均速度。将式(10)代入式(9)可得:

式(10)及式(2)中的速度 v 为多孔介质孔隙平均速度。将式(10)代入式(9 

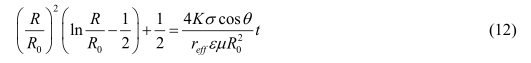
(11)积分并将毛细压差 ( ) 2 cosc effP r σ θ ? = 代入湿部半径与时间的解析关系[8] [9]:

湿部半径与时间的解析关系 

2.3.  液滴渗流

包括即时检测在内的很多应用中都涉及到液滴在纸内的渗流,目前有关液滴在多孔介质内毛细渗流的理论研究较少,主要是实验研究。实验结果表明液滴掉落在纸上后的渗流过程可分为两个阶段:初始侵入纸内过程和后期慢速扩散过程。液滴在纸面上扩散开的半径随时间关系为[10]:

液滴在纸面上扩散开的半径随时间关系 

其中 V 为液滴体积,K 为经验参数,时间项指数 n 为 0.3 左右,比径向渗流情况下 n = 1 小得多。Danini和 Marmur [11]进行了如图 3 所示的四种情况纸吸水试验,(a) 水平单相渗流;(b) 液滴渗流;(c) 无限供液径向渗流;(d) 受限供液径向渗流。其中图 3(d)中受限供液试验是将图 3(c)中液池与纸之间连接的毛细导体在一段时间后移除,以类比图 3(b)中液滴渗流时受限供液的情形。结果表明,液滴渗流的扩散速度比径向渗流慢,而与受限供液径向渗流的动力学接近,因此揭示了液滴渗流比径向渗流扩散速度慢的原因是由于受限和无限供液所导致的。

 

作者:冯上升,陈玧如,卢天健,徐 峰 

(节选文章的部分 转载仅供参考学习及传递有用信息,版权归原作者所有,如侵犯权益,请联系删除)