基于微流控芯片的乳腺癌细胞微环境酸化检测
细胞微环境酸化是恶性肿瘤的特征之一,与正常细胞的氧化磷酸化代谢途径不同,肿瘤细胞的代谢方式主要为糖酵解,其代谢终产物以乳酸为主。乳酸的大量产生及排泄障碍使肿瘤细胞处于较低的pH微环境中。肿瘤微环境的酸化不仅影响癌细胞的代谢和迁移,而且影响化疗药物对肿瘤细胞的杀伤作用。因此,建立肿瘤微环境酸化实时监测模型对肿瘤的代谢和治疗具有重要意义。
肿瘤细胞的生长环境空间狭小、液体量少,其pH值难以用传统的电化学pH计测出。目前,微量pH检测方法主要包括pH敏感微电极法、pH敏感荧光染料法和核磁共振法等方法,这些方法需要特殊的设备,且操作复杂、成本昂贵,很难在一般实验室中开展。现有的肿瘤微环境酸化检测方法缺少仿真3D结构,不能模拟细胞的扩散屏障所导致的酸性代谢产物蓄积,且难以实时检测,结果偏差较大。
微流控芯片技术因具有结构设计灵活和规模集成的特点逐渐成为细胞研究的重要手段。本研究以微流控芯片为平台、海藻酸钠水凝胶为载体,乳腺癌MCF?7细胞为研究对象,成功构建了细胞生长的微环境。同时利用芯片通道的连续灌流模拟体内的微血管系统,以及时提供营养、排除废物。同时将造价低廉的非电化学pH指示器引入微流控芯片中,通过固定光源拍照,将颜色信号转化为pH值,实现对微环境pH值的实时监测。
1实验部分
1.1仪器、试剂与材料
激光共聚焦显微镜、AU2700全自动生化分析仪;聚二甲基硅氧烷(PDMS)前体及引发剂;硝酸纤维素薄膜;FE20酸度计;TS?2A微量注射泵。
吖啶橙(acridineorange,AO)、溴化乙锭(ethidiumbromide,EB);乳腺癌MCF?7细胞、乳房BHL?100细胞;海藻酸钠、明胶、胰蛋白酶、氯化钙(CaCl2)、磷酸二氢钠(NaH2PO4)、磷酸氢二钠(Na2HP百里酚蓝、酚酞、溴百里酚蓝、甲基红、氢氧化钠(NaOH)、磷酸盐缓冲液(PBS)、台盼蓝染液;DMEM培养基、McCoy?A培养基;所有溶液用二次灭菌的蒸馏水配制。
1.2芯片制作
芯片采用标准软蚀刻加工技术,即在玻璃板上旋涂SU8光胶,然后遮蔽含有微通道图形的掩膜,曝光及显影处理后得到SU8模具。在含有SU8结构的基板上浇注PDMS,获得微结构。芯片包含3层结构(见图1a),顶层灌流通道的长、宽、高分别为4cm、140μm、180μm,中央厚度为220μm,底部有一个6mm×6mm的方形凹槽,通道末端为直径2.5mm的圆形通孔,作为pH检测口;中间层有一个5mm×5mm的方形通孔,作为细胞培养池;底层是玻璃平板。中间层与底层结合将直径5mm的纸片分装于中间层底面的凹槽内。中间层和底层等离子处理后封接,中间层NC膜分别用0.1%(质量分数)明胶和2%(质量分数)海藻酸钠溶液处理并烘干,与顶层封接后得到芯片。
1.3芯片实验操作
先将微量注射器、毛细管和制备好的芯片于90℃烘烤1h后,置于紫外灯下照射过夜。乳腺癌MCF?7细胞在培养瓶中培养,待细胞进入指数成长期后制成密度为1×107cell/mL的细胞悬液。将200μL细胞悬液缓慢注入芯片中,排除多余液体后放入细胞培养箱培养2h,向芯片通道缓慢引入40mmol/LCaCl2,引发海藻酸钠聚合,以30μL/h的速度进行连续灌注培养(见图2)。
图2芯片灌流示意图
1.4细胞培养分析
细胞连续灌流培养5d后,将荧光染液AO?EB(1∶1,v/v)注入芯片通道染色10min后,将芯片置于激光共聚焦显微镜下检测,观察芯片培养池内部细胞的结构形态。同时为考察芯片灌流与普通静态培养的差异,将相同数量的细胞放入培养皿中静态培养,定期更换培养液,于5d后将其荧光染色,同芯片培养情况进行对比。
将细胞分别培养1~7d后,拆开芯片,从细胞培养池中取出水凝胶微球于干净的离心管中,加入图3细胞荧光染色图(放大倍数10×10)生理盐水使水凝胶微球溶解,再加入适量胰酶消化细胞团块,以2000r/min离心1min后,沉淀重悬于200μLPBS溶液,混匀,滴加台盼蓝染液染色,加入细胞计数板计数总细胞数及存活细胞数。细胞存活率为存活细胞数与总细胞数的百分比。细胞增殖率(p)是培养不同天数的细胞数(nd)相对于前一天的细胞数(nd-1)增加的比率,即p=(nd-nd-1)/nd-1×100%。
1.5pH检测器构建
称取0.5mg百里酚蓝、10mg酚酞、6mg溴百里酚蓝、1.2mg甲基红,加入10mL95%(v/v)乙醇水溶液,用0.01mol/LNaOH滴定,直至溶液变为绿色,将此溶液作为指示剂。将指示剂定量滴入芯片通道出口的pH检测器后,随pH值的不同而呈现不同颜色。将芯片插入带有固定光源的拍照装置(见图1b)进行拍照后,通过PhotoshopCS2软件分析照片的红绿蓝色彩(RGB)模式值,作标准曲线,将光学数值转变为pH值,从而实现pH值的测定。
1.6微环境酸化检测
以30μL/h的灌流速度持续培养细胞,分别收集1、2、3、4、5、6、7d时的灌流液,比较其乳酸水平和pH值的对应关系,同时在相同的培养条件下比较乳腺癌MCF?7细胞和正常乳房BHL?100细胞在7d内的微环境pH值的变化情况。同时通过降低灌流速度,考察其对微环境酸化情况的影响。
2结果与讨论
2.13D肿瘤细胞微环境的模拟
2.1.1肿瘤间质的模拟
明胶处理过的NC膜具有亲水作用,在疏水性PDMS材料上形成亲水区,一定浓度的细胞悬液通过通道灌流进入NC膜区域后,在重力和表面张力的作用下迅速铺满整个细胞培养池。细胞悬液进入培养池后,与NC膜上的海藻酸钠逐渐混合,当接触到Ca2+时海藻酸钠固化为水凝胶微球,为3D细胞培养提供支撑。水凝胶微球中的明胶和海藻酸钠含有选择素和整合素成分,具有促进细胞黏附的作用。水凝胶微球为细胞生长提供了适宜的间质硬度及支撑、连接和营养作用,同时可避免流体剪切力对细胞的伤害,很好地模拟了体内肿瘤间质。
2.1.2肿瘤实质的模拟
体内细胞均为3D立体式生长而非平面生长。将芯片进行灌流培养和静态培养,均培养1d和5d,分别向各自细胞培养池中引入AO?EB(1∶1,v/v)染液染色,用激光共聚焦显微镜观察,比较两种培养条件下细胞培养池中细胞与间质、细胞与细胞形态学结构的变化和不同(见图3)。结果表明,在灌流条件下,培养1d时,乳腺癌细胞由于生长时间尚短并未聚集形成微球(图3a);而培养5d时,细胞聚集生长,形成大小不等的微球(图3b),提示细胞呈3D立体式生长,与体内细胞生长方式接近。而在静态条件下,培养1d时(图3c)与灌流培养相比,二者无明显差别;但随着培养时间的增加,灌流培养与静态培养下的细胞虽然在成球速度上差别不大,但细胞存活率明显提高(图3d),说明灌流培养比静态培养更接近体内细胞的生长状况。
图3细胞荧光染色图(放大倍数10×10)
2.2细胞生长分析
在灌流速度为30μL/h时,分别连续培养1、3、5、7d,计算细胞的存活率;在此条件下,连续灌流培养7d,计算细胞的增殖率(见图4)。结果表明,随着培养时间的增加,细胞存活率逐渐下降,但一直保持在90%以上;细胞在第1d时的增殖率最高,达到45%,随着培养天数的增加,细胞增殖率逐渐下降,但仍保持在20%以上。细胞的密度随着培养天数的增加而持续增加,说明细胞在水凝胶微球中不断增殖,与2D细胞培养相比,由于营养成分和生长空间的限制,倍增时间显著缓慢。
图4灌流培养下细胞的(a)存活率和(b)增殖率(n=3)
2.3微环境的酸化检测
将浓度为0.2mol/LNaH2PO4和Na2HPO4按适当比例混合,配制pH值为6.5~7.4的系列标准溶液。pH检测器中加入定量的指示剂和标准溶液后,因pH值的不同而显示出不同颜色,通过软件分析不同pH值对应的RGB模式中的红(R)、绿(G)、蓝(B)值。研究表明,R值与pH值的关系最为密切,将R值取对数后与pH值绘制标准曲线(见图5),可获得不同颜色对应的pH值。
图5lgR与pH值的关系(n=3)
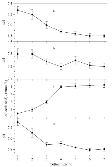
在灌流速度为30μL/h时,连续培养乳腺癌MCF?7细胞7d,每天测定癌细胞的pH值和乳酸水平(见图6)。结果表明,随着培养天数的增加,乳腺癌MCF?7细胞微环境的pH值逐渐下降;在6d时,逐渐形成一个相对稳定的酸化微环境,肿瘤细胞在此酸化微环境下仍能正常增殖。在相同的条件下培养乳房BHL?100细胞,其微环境的pH值始终保持在中性范围内(图6b),与肿瘤细胞形成鲜明对比。同时对比MCF?7细胞的pH值和乳酸水平,发现二者之间存在显著关联(图6c),说明乳酸是引起pH值变化的重要原因
图6乳腺癌和乳房细胞的微环境酸化情况(n=3)
本实验考察了灌流速度对乳腺癌细胞微环境酸化情况的影响(见图6d)。在不影响MCF?7细胞存活率的基础上,将灌流速度降至6μL/h,监测其在7d内微环境的pH值,由于营养物的供给和代谢物的排泄存在一定障碍,MCF?7细胞在3d时就形成了相对稳定的酸化微环境。
3结论
利用微流控芯片的特性可以实现对细胞微环境的有效模拟和对微环境酸化进行实时监测。本实验借助海藻酸钠与Ca2+固化为水凝胶的特性,为细胞生长提供支架,构建3D细胞培养环境,同时将价格低廉的非电化学pH检测器集成到芯片上,实现对微环境pH值的实时监测。本实验建立的肿瘤细胞微环境酸化检测平台为动态监测肿瘤细胞周围酸碱度的变化、分析癌细胞耐药和转移提供了科学依据。
文献来源色谱DOI:10.3724/SP.J.1123.2016.07011作者:严伟,徐德顺等(转载仅供参考学习及传递有用信息,版权归原作者所有,如侵犯权益,请联系删除)
