用于甲型流感病毒检测的离心式微流控芯片
1. RT-LAMP 芯片设计
如图 1d 所示,芯片由 1mm 或 2mm 厚的 PC 组成。在将所有 PC 层组装之前用 VISTEX 溶液处理 PC 层上的虹吸通道,使其表面为亲水性。
在进行 RT-LAMP 反应之前,将厚厚的 PC 盖放在组装好的芯片上避免芯片在 RT-LAMP 过程中弯曲。如图 1d 所示,PC 盖上三个半径为 5mm 的孔与 RT-LAMP 腔对齐以实现有效的热传递。
芯片结构如图 1 所示。将三个储液池(用于 RNA 样品,洗涤液和洗脱液存放)放置于捕获 RNA 的珠床通道前面。在右侧,设计了另一个用于装载 RT-LAMP 混合物的腔室,其中包含酶混合物,目标特异性引物和反应缓冲液。
在 RNA 样品入口的内部设计了毛细管阀( 深: 100um, orange ),以防止回流到洗涤和洗脱液腔。
一个 100um 深的堰结构用来填充经 TEOS 处理的微珠(直径为 150–212μm ),注: 此处文章应该有误,微珠比堰大肯定进不去。
洗涤液腔通过毛细管阀( 深: 150um ; 宽: 580um, brown )与珠床微通道连接。一个虹吸通道( 深: 100um ; 宽: 580um, orange )桥接在洗脱液腔和珠床微通道之间。洗脱腔中的毛细管阀用于安全地储存液体,而在洗脱腔中使用虹吸管道是为了按序加载 RNA 样品,洗涤液和洗脱液。
类似地,RT-LAMP 混合液也使用毛细管阀和虹吸通道,以便在加载洗脱液之前将 RT-LAMP 混合液移至 RT-LAMP 腔。
本文设计的洗涤和洗脱腔,可将溶液稳定地储存在指定位置。如,所用洗涤液为 70% 乙醇,其接触角较低。由于 70% 乙醇的高润湿性,使得装载的洗涤液通?;嵫赝ǖ辣诓皇芸刂频卦硕N朔乐拐庵炙婊鞫?,设计了如图 1b(i) 的洗涤腔。
一个可产生强大毛细作用力的环形结构( 深: 200um )被提出,该毛细力可以承受液体压力,抑制洗涤液的泄漏。图 1b(ii) 显示了洗涤腔的底视图,包含了内圈和外圈图案。
为避免洗涤液注入过程中顶部密封带被弄湿,制作了一个 250μm 深的图案,确保了胶带的完美密封,从而消除 RT-LAMP 过程中的污染和蒸发问题。
洗脱腔和 RT-LAMP 腔也设计了一个具有 250μm 深度的环形图案,以在注入步骤中牢固地储存液体,如图 1c 所示。
废液腔的入口包含三个毛细管阀( 深: 150um ; 宽: 580um,长: 1000um),以防止废液倒流到珠床微通道或 RT-LAMP 腔中。RT-LAMP 反应腔的体积为 6 μL,通过虹吸通道与 RT-LAMP 储液腔直接相连。实验上,RT-LAMP 混合物比纯化的 RNA 溶液传输到 RT-LAMP 反应腔的速度更快。
图 1 芯片描述
2. 试剂准备
如图 2a 所示,将 RNA 样本 (甲型流感病毒裂解物或纯化的病毒 RNA),洗涤液( 70% 乙醇 ),洗脱液 ( RNase-free water ) 和 RT-LAMP 反应混合物引入指定的腔室。其中,3.5μL 的 RNA 样品包含 0.5μL 甲型流感病毒样品,1.25μL 乙醇和 1.75μL 6 M Gu-HCl 。
将样品加载到各个腔室后,RNA 溶液 ( yellow ) 因珠床微通道的亲水性和毛细作用力被自动吸收到珠床微通道中,而位于进样口上侧的毛细管阀可防止样品溶液倒流到洗涤或洗脱液腔中。然后,将 5μL 洗涤液(70%乙醇,blue),2.2μL 洗脱液(RNase-free water,sky blue)和 4.4μL RT-LAMP反应混合物(green)分别装入对应腔室。为了阻止溶液的溢出和蒸发,使用一块粘合膜 (adhesive film) 覆盖储液腔和通风孔。
图 2 芯片的操作流程
3. 芯片操作
珠床微通道中的 RNA 样品以每分钟 5000 转的速度逆时针流动 10 s 。如图 2b(i) 所示 (yellow) 目标 RNA 和一些杂质被捕获在堆积的微珠上。然后通过洗涤溶液去除残留在珠床上的盐和蛋白质,从而纯化捕获的 RNA, 如图 2b(ii) 所示 (blue)。
随后以 5000 RPM 的速度离心 290 s (逆时针) 用来干燥微珠中残留的乙醇,防止抑制后续的扩增。此时来自 RNA 样品的废液和洗涤液被运送到废液腔。由于离心力和科氏力产生的驱动力使得废液流向废液腔,而不是 RT-LAMP 反应腔。如下视频 1 对此作了解释。
在低转速下,科氏力不足以进行流动切换,因此本文采用了较高的旋转速率,如±5000 转/分。当芯片停止旋转时,如图 2b(iii) 所示, 在 30 s 内将 the RNase-free water 和 RT-LAMP 混合物灌注至虹吸通道。
如图 2b(iv) 所示, 当转速沿顺时针方向增加至 5000 RPM 时。the RNase-free water 和 RT-LAMP 混合物开始流动。RT-LAMP 混合物更早地流动到 RT-LAMP 反应腔中,the RNase-free water 通过珠床微通道随后将纯化的 RNA 输送到 RT-LAMP 反应腔中。
由于此时的旋转方向与初始相反,因此携带纯化 RNA 的 the RNase-free water 被移至 RT-LAMP 反应腔,而不是废液腔。该步骤被延长 90 s,以完全回收微珠上的RNA,如图 2(iv-vi) 所示。
最后,如图 2c 中的蓝绿色所示在 RT-LAMP 反应腔中收集了总共 6μL 的 RT-LAMP 反应混合物 (4μL 的 RT-LAMP 混合物和 2μL 纯化的RNA溶液)。如下视频 2 对反应流程做了详细说明。随后 RT-LAMP 反应直接在 64.2°C 下进行 40 min 。
图 3. 流体流动顺序
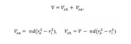
4. 洗涤腔中环形图案深度的计算
洗涤腔中环形图案深度被计算如下:
由于总体积是腔室体积(Vch)和毛细管通道体积(Vca)的总和,
所以不等式可以按深度 (d) 排列,得到 d 的最大值如下
免责声明:文章来源 原创 尧灵 单细胞PCR的微流控芯片研究 以传播知识、有益学习和研究为宗旨。 转载仅供参考学习及传递有用信息,版权归原作者所有,如侵犯权益,请联系删除。
- 上一条如何选择二氧化碳培养箱
- 下一条二氧化碳培养箱使用前中后操作规范
