微流体中微流控器件(微流控芯片/微流控导管)内部的液体流量控制
微流控中液体流量的流动需要依据具体的应用而进行调控,调控方式可通过压力控制器/压力驱动泵或注射泵来进行调节。根据所驱动液体流量的大小可把流体分为纳流体、微流体和毫流体。
纳流体,微流体和毫流体
纳流体:纳米流体主要研究流体在1-100 nm结构尺度下的操纵和控制行为。限制在该级别物理结构上的流体会呈现出在较大物理结构(如微米尺寸及其以上尺寸)上无法观察到的物理现象,因为流体的特征物理缩放长度(如德拜长度、流体动力学半径)与纳米结构本身的物理尺寸非常相近。
微流体器件通常用通道的直径来进行表征,通道直径尺寸范围从100 nm到100 μm,通常涉及到粒子的直径范围大约从10 nm到10 μm。在该尺度的长度上,雷诺系数(Reynolds number)很低,流体流动通常表现出层流特性,但是mass transfer Peclet number通常较大,导致产生独特的微流体混合区域。
毫流控指毛细管内的流体流动系统,毛细管的内部横截面尺寸在1 mm以上。传统流体中毫流控的限制是当雷诺系数(Reynolds number)接近值1时,流体的湍流行为不能再被忽略。
微流体介绍
Navier-Stokes方程
流体流动受Navier-Stokes方程控制。起源于牛顿第二定律的Navier-Stokes方程应用于流体的公式如下:
![]()
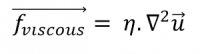
其中,这里的力f指单位体积的力。fgravity为重力,fpressure为压力,fviscous为粘滞力,u为流体速度,ρ为流体密度。

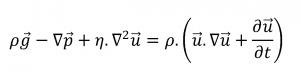
结合以上各分项公式,最终的Navier-Stokes方程变化为如下形式:

对于不可压缩的,单向的,稳定的牛顿微流体来讲,还可以进一步做简化。
(1)忽略重力项

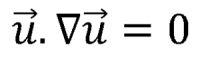
(2)由于单向流体的性质(其它方向上的速度矢量分量为零)和质量守恒定律(div(u)=0,[9]),带有对流算子运算符(advection operator)的对流项(convective term)是零值。

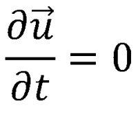
(3)如果流体稳定,那么流体流速的微分项为零。

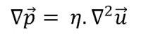
因此,最后的Navier-Stokes方程变为如下形式:
(12)
该公式表明,可以用压力来平衡粘滞力。
压力驱动微流体
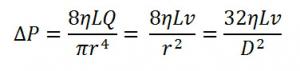
方程(12)可被应用于各种形状的微通道。对于圆柱形微通道来讲,通道内部会形成抛物线型的流速,压力和流量之间的关系可用Hagen-Poiseuille方程来进行描述:

其中,ΔP为通道两端的压强差/压降,L为通道的总长度,Q为体积流量,r为通道半径(或D为通道直径),v为通过通道横截面的平均流速。
对于方型通道或者低纵横比(或者长宽比)的矩形通道来讲,压力和流量间关系的良好近似(最坏的近似情况下为0.7%)可用如下公式来描述:

其中,h为通道横截面高度,w为通道横截面宽度,μ为流体动力学黏度(单位为kg/m·s,kg/m·s=Pa·s=1000 cP)。
类比于电路中基本定律的流体概念:流阻的概念
微流体通道或纳流体通道内液体的平均流速正比于施加在毛细管两端的压力梯度。因此,Hagen-Poiseuille方程可重新改写为类似传统欧姆定律的形式:

流体阻力依赖于横截面的几何形状。然而,对于大部分的几何形状而言,流体阻力可通过如下的方程来预测。

其中,h是通道横截面高度,w是通道横截面宽度,μ为流体动力学黏度(单位为kg/m·s,kg/m·s=Pa·s=1000 cP)。

此外,也可以使用类似电路中的相同计算方法来计算微流体或纳流体网络中的流体阻力,流体流速可通过微流体器件的不同部分来推导出来,例如使用类似的经典基尔霍夫定律。流阻概念通过使用毛细管可以很方便的应用于微流体中,毛细管可用作流速限制器同时又可以让用户在低流阻装置中以较低的流速来进行实验。
有效截面的计算
有效截面Seffect用于计算1 cm长微通道内随流量变化的典型压强差或压降。对于使用水基类的1 cm长的直通道而言,流阻可以使用通道横截面高度h和通道横截面宽度w的乘积值(对于圆柱形通道来讲,其值可用π×r^2来描述,r为圆柱形通道的半径)来近似表示。
对于复杂的微流体或纳流体网络,或当使用粘性液体时,有效截面的数值也可以从流体阻力计算中得到。使用上面中提到的经典规则,微流体器件的全部有效截面可以使用总流阻Rtotal和如下方程来得到一个近似值。

其中,L0=0.01 m=1 cm,η0=8.90×10^-4 Pa.s。
外部流量控制的系统
在微流体和纳流体器件内部,有三大类系统用来控制液体的运动。有些系统使用压力差来控制液体的流量(流体静水力(hydrostatic)或压力发生器(pressure generator)),而其他系统可以直接产生流量/流速(注射泵)。最后,液体泵(liquid pump)和电渗泵(electro-osmotic pump)可被用来产生液体流动(液体流动速率与器件的流阻有关)。
Hydrostatic Pressure(液体静压力/静水压力)
在微流体系统中,液体静压力是控制液体流动的最简单的一种方式。压力差可通过改变不同储液池内相对于环境界面的液体高度来获得。对于水基类液体,1 cm的高度差对应于1 mbar,这把该技术的分辨率限制在0.1 mbar,最大压力限制在100 mbar(1 m的高度差)。

这项技术同样也受到Laplace pressure的限制,起源于空气-液体界面的Laplace pressure依赖于液体、大气环境、储液池及其形状间的亲和力。从较大储液池的几十μBars,这种不可预测的过压力也可以代表窄横截面的亲水或疏水储液池内的几个mbar。
这种系统也受到微通道内缺少施加压力的动态控制的限制,这种系统对于改变任何的压力参数变化都会非常的困难。
最后,这种类型的压力控制的另一个限制是通过液体从一个储液池流动到另一个储液池中产生的压降而造成的渐进压力变化,从而导致压降随时间而呈现出线性减少。
Pressure Generators(压力发生器)
最简单的压力发生器可由压力源(压缩机,瓶子)、静态膜压力调节器和用来监视压力值的压力计组成。系统稳固性和精密性高度依赖于全部组件的良好兼容性。
这类系统的主要缺点是响应的快速性,响应的快速性受到导管的机械形变的限制。但是导管的形变可以灵活的被加以使用:形变导管可被添加在实验装置中,用于吸收和抑制液体流动的波动。所以,压力发生器通过调整实验装置可以具有非常高的响应性。另一种快速改变压力的可能性是使用具有压力多路复用器的若干个压力发生器。压力发生器和压力多路复用器可通过电脑进行控制并且允许在几个μs内从一个压强切换到另一个压强。
另一种可能是使用一套具有电子压力传感器的电磁阀来控制压力。这种技术的优势是可以使用微阀来实现快速响应。两阀门电子压力发生器的主要缺点是产生的压力具有脉冲性(恒定压力可通过正压开口或排气电磁阀来确保实现,因此,系统响应越快速,压力波动就会越高。)。
这种类型的压力调节器非常适合需要精密压力模式(如梯度或者正弦压力变化)的应用。相对于静态压力调节器,当过压或液体进入这类系统时,其精度和快速性会变得比较脆弱。
压力发生器也可以和流量传感器联合使用,以确保使用流速控制而不是压力控制(在这种情况下,流速反馈控制集成在压力发生器内)。
Syringe Pump(注射泵)

首先应用于微流控中的流量控制器是注射泵。这些系统首先被开发用于医药领域的灌注系统,随后被微流控科学家采用。注射泵的主要优势是有能力控制微通道内的液体流量而不会受到流体阻力的影响(压力自适应调节并维持到相应流速)。
注射泵的主要缺点是低流速下出现脉动流动和达到稳定的有效流速所需要的时间(当导管的一致性不能忽略时)。例如,当长度为10 cm,直径为0.5 mm的导管表明压力增加1 bar(10μm^2有效截面的微流体器件内的0.03 μL的流速),其内部直径有0.1%的变化(+0.5 μm),需要1 min的时间才能达到最终流速值的66%(5 min达到最终流速值的99%,10 min达到最终流速值的99.99%)。
Liquid Pump(Peristaltic, Piezo-Electric)(液体泵(蠕动泵或压电泵)

液体泵不是完美流量发生器的一种类型因为回压/反向压力降低了液体的流量。通常情况下,流量Q可线性表达为回压的函数,表达式如下:

其中,Qmax是可达到的流量,ΔPmax是泵可以达到的最大回压。
目前,需要技术可应用于液体泵,其中主要有两种技术:蠕动泵(主要优势是使用可互换的软管(限制污染问题)和适用于较大流量的应用。)和压电泵(最紧凑的一种泵并且可被应用于中间流量(μL)的流体。)。
流量控制需要用到泵和流量传感器,流量波动性可在低流量下被观察到。高效液相色谱(HPLC泵)泵集成全部组件同时降低流量波动,但是表明了HPLC泵是一个昂贵的流量控制系统。
Electro-Osmotic Pump(电渗泵)

电渗泵没有出现流量波动的问题,因为它们是基于通过纳米多孔材料的液体的电激发来实现的。这类系统也可以承受较大的背压力,但是需要在低导电性液体中工作,同时有可重复性操作的缺点。
微流体应用
(1)化学合成:微通道反应器,微液滴反应器等
(2)分离和分析
(3)生物检测
(4)单细胞生物
(5)微液滴
(6)微流体流变学/微流体流变仪
(7)光流控
参考文献
1. http://en.wikipedia.org/wiki/Nanofluidics
2. http://www.kirbyresearch.com/index.cfm/page/ri/ufluids.htm
3. http://en.wikipedia.org/wiki/Navier-Stokes equations
4. http://web.eecs.utk.edu/-jaynewu/Teching/Microfluidic Dynamics
5. Lautrup, B. Physics of Continuous Matter, Second Edition: Exotic and Everyday Phenomena in the Macroscopic World
6/7. http://en.wikipedia.org/wiki/Material_derivative
8. Kirby, B. J. Micro-and Nanoscale Fluid Mechanics: Transport in Microfluidic Devices.(Cambridge University Press, 2010)
9. http://en.wikipedia.org/wiki/Continuity_equation#Fluid_dynamics
10. page elvesys: solution of the Navier-Stokes equation in various microchannel shapes and geometries
11. http://en.wikipedia.org/wiki/Hagen-Poiseuille equation
12. Pressure Drop of Fully-Developed, Laminar Flow in Microchannels of Arbitrary Cross-Section. M. Bahrami, M. M. Yovanovich, J. R. Culham: Transactions of the ASME, Journal of Fluids Engineering, 1004/128, 2006
13. A. Ajdari - Steady flows in networks of microfluidic channels: building on the analogy with electrical circuit - Competes rendus physique - 2004
14. http://en.wikipedia.org/wiki/Kirchhoff's circuit laws
