栖凤楼论坛信息社区,良家论坛一品楼,一品阁楼论坛,万花楼论坛网

首页 > 技术资讯 > 行业咨讯

过程强化技术前沿-聚苯胺的连续化制备及其在超级电容器领域的应用

超级电容器是介于传统电容器和充电电池之间的一种新型储能装置,它既具有电容器快速充放电的特性,同时又具有电池的储能特性。导电高分子(聚苯胺、聚吡咯、聚噻吩等)是超级电容器的一类重要电极材料?;а趸ㄊ侵票傅嫉绺叻肿拥某S梅椒ㄖ?,该制备方法简单、成本低,并且制备得到的导电高分子电导率高、环境稳定性良好。然而,化学氧化法制备导电高分子过程中会释放大量的反应热,常规釜式反应器很难将反应热及时移出,难以实现反应的精确可控。今天介绍两篇文章,作者利用微反应器良好的传质传热特性,提出了一种基于液-液两相流的连续化制备聚苯胺的方法,并对反应过程中的传质机理和溶剂影响进行了系统的实验探究。

来源 

第一作者:宋扬

通讯作者:苏远海 特别研究员

通讯单位:上海交通大学化学化工学院

全文速览

1、提出了一种基于液-液两相流的连续化制备聚苯胺的方法,并对两相传质过程进行了研究;

2、探究了共溶剂对聚苯胺形貌和性能的影响;

3、制备的聚苯胺可用作超级电容器电极材料,表现出良好的电化学性能。

背景介绍

聚苯胺是一种具有特殊的电学、光学性质的高分子材料,经掺杂后可具有良好的导电性及电化学性能?;诨а趸淼慕缑婢酆鲜侵票妇郾桨返某S梅椒ㄖ?,然而苯胺的化学氧化聚合在反应属于强放热反应(△H= ?105 kcal/mol),反应过程难以得到精确有效的控制;此外,该反应过程中,会有大量的固体产物累积在相对静止的两相界面,阻碍两相间的传质,使反应时间变长。因此急需开发一种高效、可控制备聚苯胺的新方法。

全文图解

图1 连续流制备聚苯胺反应装置 

1 连续流制备聚苯胺反应装置(A、B)与反应器内液-液两相流(C、D)示意图。

在论文中,作者利用微反应器良好的传质传热特性,提出了一种基于液-液两相流的连续化制备聚苯胺的方法,能有效控制反应温度,通过高速摄像技术原位观察到微反应器内存在明显的液滴内循环现象,内循环提高了两相传质效率,显著缩短了反应时间。而且,聚苯胺颗粒被包裹在分散相液滴内,有效避免了微通道堵塞问题。

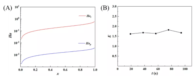
图2 聚合反应过程中八田数 

2 聚合反应过程中八田数(Ha)随苯胺转化率的变化(A);不同停留时间下,聚合反应对传质的影响(B)。

作者在实验研究中发现,产物总是分布在分散相液滴内部而不是集中在两相界面。为了更直接的解释这一现象,作者对反应过程中的传质现象进行了研究,基于双膜模型,通过计算八田数(Ha)发现有85%的单体在分散相主体中发生聚合反应,仅有15%的单体在两相界面处发生聚合反应。通过进一步的研究发现,聚合反应促进了两相间的传质,传质效率被提高了1.5倍左右。

图3 聚苯胺的电化学性能。 

3 聚苯胺的电化学性能。

此外,作者研究了共溶剂对聚苯胺制备的影响,研究表明聚苯胺的形貌随着反应介质的不同而变化,并用Hansen参数和Flory-Huggins理论解释并预测了形貌的变化规律。此外,对产物的电化学性能进行了表征,在三电极体系下,测试了以聚苯胺作为电极材料的超级电容器性能,实验结果表明,在电流密度为1 A/g的条件下,比电容可达343~426 F/g;在500 W/kg的功率密度下,最大能量密度为59.2 Wh/kg。

小结

通过实验得出以下结论:在微反应器内实现了基于液-液两相流的聚苯胺连续化制备,该方法有望被拓展到聚吡咯、聚噻吩等导电聚合物的制备过程中。通过高速摄像技术观察到了微反应器内的液滴内循环现象。通过对两相传质的研究,更深刻地认识了反应过程,合理的解释了实验中观察到的聚合反应在主要集中在分散相液滴内部进行的现象。同时证明了聚合反应促进了两相间的传质。应用Hansen参数和Flory-Huggins理论解释了不同共溶剂条件下制备的聚苯胺的形貌变化。而且,制备的聚苯胺在在三电极测试体系下,表现出良好的电化学性能。该研究表明,通过基于液-液两相流连续化制备的聚苯胺在超级电容器材料领域具有一定的应用潜力。

想要了解更多内容,请点击下方链接或阅读原文:

https://doi.org/10.1016/j.cej.2018.07.166

https://doi.org/10.1016/j.ces.2019.07.008

免责声明:文章来源《 化工过程强化 PI》-微信公众号   以传播知识、有益学习和研究为宗旨。 转载仅供参考学习及传递有用信息,版权归原作者所有,如侵犯权益,请联系删除。