栖凤楼论坛信息社区,良家论坛一品楼,一品阁楼论坛,万花楼论坛网

首页 > 技术资讯 > 行业咨讯

II型糖尿病药物:坎格列嗪连续合成工艺分享

坎格列嗪[1],又名卡格列净,化学名:(1S)-15-脱氢-1-{3-[(5-(4-氟苯基)-2- 噻吩基)甲基]-4-甲基苯基}-D-葡萄糖醇。坎格列嗪为新型SGLT-2抑制剂[2],用于治疗II型糖尿病的成年患者。由日本田边三菱制药与强生制药联合开发,于2013329日,获得FDA批准上市,用于改善II型糖尿病成人患者的血糖控制,该产品也是FDA批准的首个SGLT-2抑制剂,并于同年1125日,获欧盟委员会(EC)批准上市。SGLT是一种葡萄糖转运蛋白,有两种亚型即SGLT-1SGLT-2,分别分布于小肠粘膜和肾小管,能够将葡萄糖转运进血液??哺窳朽耗芤种?/span>SGLT-2,使肾小管中的葡萄糖不能顺利重吸收进入血液而随尿液排出,从而降低血糖浓度。

图1坎格列嗪 

1坎格列嗪

目前专利报道的坎格列嗪的合成方法主要有以下几种:

路线1为坎格列嗪化合物专利[3](申请号:CN200480022007.8)中描述的方法,具体路线如下所示:

图2 坎格列嗪合成路线1 

2 坎格列嗪合成路线1

该路线以2-(4-氟苯基)-5-[(5--2-甲基苯基)甲基噻吩1和三甲基硅基?;さ钠咸烟撬崮邗?/span>2为起始原材料,首先化合物1在丁基锂作用下发生锂卤交换,随后对葡萄糖酸内酯进攻发生缩合反应,随后在甲磺酸催化作用下醚化,然后脱除三甲基硅?;せ玫交衔?/span>3;最后化合物3在三乙基氢硅烷和三氟化硼乙醚条件下还原脱除甲氧基得到坎格列嗪。该路线简洁高效,经三步操作即可制备坎格列嗪,但是由于正丁基锂使用,需要低温(-67℃~-78)氮气?;げ僮鳎陨璞傅忍跫笱细?,不易操作,且正丁基锂具有爆炸危险性,工艺使用量大,增大了危险系数。

路线2为制备专利CN200880106239.X[4]中描述的方法,具体合成方法如下所示:

图3 坎格列嗪合成路线2 

3 坎格列嗪合成路线2

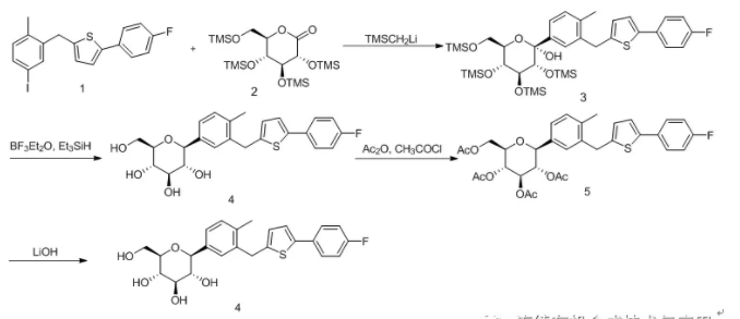
该路线以2-(4-氟苯基)-5-[(5--2-甲基苯基)甲基噻吩1和三甲基硅基?;さ钠咸烟撬崮邗?/span>2为起始原材料,首先化合物1在三甲基硅基甲基锂作用下发生锂卤交换,随后对葡萄糖酸内酯进攻发生缩合得到化合物3;而后在三乙基氢硅烷和三氟化硼乙醚络合物作用下还原脱除羟基得到坎格列嗪粗品;再经过乙?;;ず屯驯;げ街璧玫酱康牟房哺窳朽?。该路线优点是选用更活泼的原材料化合物1以及更温和的三甲基硅基甲基锂做锂化试剂,将反应温度升高至-40℃,,并且采用乙?;;ず屯驯;ざ圆方写炕5歉寐废呤笛樘跫孕枰臀?,操作比较苛刻,另外反应仍需大量烷基锂试剂,具有较大的危险性。

路线3为制备专利申请CN200980151648.6[5]中描述的方法,具体合成方法如下所示:

图4 坎格列嗪合成路线3 

4 坎格列嗪合成路线3

该路线与路线2起始原材料相同,只是选用的试剂不同,该路线中首先将化合物1制备成相应的格氏试剂,然后进攻化合物2,通过格氏反应构筑骨架;然后在甲磺酸条件下甲醚化,脱三甲基硅基?;さ玫交衔?/span>3;化合物3再经乙酰基?;さ玫交衔?/span>4;然后在三乙基氢硅烷/三氟化硼乙醚条件下还原脱除甲氧基得到化合物5;最后化合物5在氢氧化锂条件下水解得到坎格列嗪。该路线的优点是选用格氏反应构筑分子骨架,反应温度为0℃,对温度和设备要求也相应降低。另外反应中间体8易纯化,可以有效控制中间体纯度,易于产品纯化。缺点是格氏试剂制备所需要的异丙基氯化镁氯化锂具有危险性,尤其是大规模工业生产中危险性越发明显。

连续化工艺

连续化工艺 

1L三口瓶中配制500ml 85g/L的主原料M1的甲苯/四氢呋喃混合溶液,以18ml/min的流速流入微反应器A单元中,另外将浓度为2.2mol/L正丁基锂以7ml/min的流速同时流入微反应器的A单元中,该锂-卤交换反应的停留时间为28秒,反应温度控制在-30℃,待反应液流出微反应器的A单元后,将三甲基硅基?;さ钠咸烟撬崮邗?/span>M3料液以3ml/min的流速同时流入微反应器的B单元中,该反应单元的停留时间为23.3秒,该反应单元控制的反应温度为-30℃。

500ml三口瓶中加入300ml甲醇和100ml甲烷磺酸,搅拌混匀后降至室温,待反应料液从微反应器的B单元中流出后,同时将甲烷磺酸的甲醇溶液以10ml/min的流速一起流入微反应器的C单元中,该反应单元的停留时间为15秒,控制该反应单元的温度为0℃,待反应料液从C单元中流出后,同时分别将三氟化硼乙醚以5ml/min的流速、三乙基硅烷7ml/min的流速一起流入D单元中,该反应单元的停留时间为10秒,控制该反应单元的温度为0℃,由该单元流出的料液加入到装有300ml正庚烷的三口瓶中,搅拌析晶,在 0-5℃保温5小时后,经抽滤得到坎格列嗪粗品。经液相检测产品含量为98%,物料总收率为75%。

参考文献:

[1]MengW.,J. Med.Chem., 2008, 2, 1145.

[2]Chao E C., Henry RR.,Drug Discovery., 2010, 9, 551.

[3]野村纯弘;川西英治;植田喜一郎.,新颖化合物., CN200480022007.8.

[4]詹森药业有限公司;田边三菱制药株式会社.,可用作SGLT抑制剂的化合物的制备方法.,CN200880106239.X.

[5]詹森药业有限公司;田边三菱制药株式会社., 制备可用作SGLT抑制剂的化合物的制备方法., CN200980151648.6.

免责声明:文章来源《 连续有机合成技术与应用》-微信公众号,以传播知识、有益学习和研究为宗旨。 转载仅供参考学习及传递有用信息,版权归原作者所有,如侵犯权益,请联系删除。