Y聚焦型微通道内磁流体液滴的生成与调控
近年来,微流控技术受到了学术界和工业界的 普遍关注[1-4]。磁流体作为一种新型的功能材料,是 由直径为 10 nm 左右的磁性固体颗粒、基载液以及 界面活性剂组成的稳定的胶状液体。
1实验
实验所采用的微通道结构如图 1 所示。实验所用微通道横截面尺寸为400 μm×400 μm。微芯片由两块73 mm(长)×40 mm(宽)×10 mm(高)的聚甲基 丙烯酸甲酯(PMMA)板组成,其中一块用精密的数控机床刻出微通道,另一块用来密封。分散相和连续相分别由两台微注射泵(Harvard Apparatus,PHD 22/2000,USA)从针筒注入微通道内。分散相以流 量 Qd 从中心主通道流入,连续相以流量 Qc/2 分别 从与主通道呈 45°角的两个侧通道流入?;ゲ幌嗳?的两相流体在 Y 形交叉口处相遇生成液滴,生成的液滴向下游流动。实验过程中,微芯片放在连接有高速摄像仪(Fastcam SA1.1,Japan)的显微镜 (ECLIPSE Ti-CU,Nikon,Japan)上。拍摄所需 的光源为 12 VDC 卤素灯,其电源为 Nikon TI-PS 100W(Japan)。高速摄像仪用于捕捉磁流体液滴行为,光源为摄像仪拍摄提供照明。每调整一次流量,待系统达到稳定状态后开始记录图像。
图 1 Y 聚焦型微通道结构
在液滴生成交叉口处的左侧平行放置钕铁硼永磁铁(NdFeB,50 mm×20 mm×20 mm)以产生 磁场。磁铁的中心处与主通道处于同一条直线,放置位置如图 1 所示。通过调整磁铁与微通道之间的距离,磁感应强度和磁场梯度得以改变。采用高斯 计(TM701, Kanetec, Japan)测量T型分岔口磁感应强度,精确度为 0.01 mT。图2显示了磁感应强 度B和磁铁与微通道之间距离 x 的关系,随着距离的增大,磁感应强度明显下降,图中的数据点可通过一个五阶多项式进行拟合,以预测实验中某点的磁感应强度
图 2 磁感应强度和磁铁中心与 Y 形分岔口距离的关系
在外加磁场作用下,磁流体液滴会受到磁吸引 力。作用于单位体积磁流体液滴的吸引力 Fm 可表 示为
式中, μ0 是真空磁渗透率,μ0=4π×10?7 N·A?2 , M 是磁化强度,?H 是磁场强度梯度。为了更好地 进行描述,磁场力与界面张力的相对大小可以由磁 Bond 数 Bom来表示
式中,χ 是磁流体的初始磁化率,Lc 是磁流体 液滴的特征尺寸(本文选择生成液滴长度 L 作为该 特征尺寸,如图 3 所示),H 是磁场强度。
为了生成磁流体液滴,水基磁流体(EMG 807, Ferrotech,USA)作为分散相引入,黏度为μd = 2 mPa·s,密度为ρd = 1100 kg·m?3 。磁流体中磁性纳米 粒子的平均直径为 10 nm,由于粒子直径很小,可 以忽略磁黏效应[6]。磁流体的粒子体积分数为2.0%, 初始磁化率χ = 1.88。含表面活性剂 Span-20 (4%, 质量分数) 的矿物油溶液作为连续相引入,黏度为 ?c = 36 mPa·s,密度为 ρc = 876 kg·m?3 。加入的 Span-20 可使液滴稳定生成并抑制其聚并。磁流体 与矿物油之间的界面张力为σ = 1.5 mN·m?1 。两相流 体的黏度和密度分别由乌氏黏度计( iVisc , LAUDA,Germany)和振荡管密度计(Anton Paar DMA-4500-M,Austria)测得,液液两相界面张力由表面张力仪(OCAH200,Data Physics instruments GmbH,Germany)测定。所有实验均在 293.15 K 和常压下进行。
图 3 微通道内水基磁流体-矿物油两相流流型及生成过程
2 结果与讨论
2.1 两相流流型
本实验中,分散相和连续相的流量范围分别为 0 < Qd < 2 ml·h?1和 0 < Qc < 40 ml·h?1 ,连续相毛细 数 Cac = μcuc/(表示连续相黏性力与界面张力之比) σ 的范围为 0.01 < Cac < 1.67,分散相 Weber 数 Wed = μdwcud 2 /σ(表示分散相惯性力与界面张力之比)的范围为 5.53×10?5 < Wed < 3.54×10?3 ,其中 uc与 ud 分别表示连续相与分散相的速度(uc = Qc/w 2 c,ud = Qd/w 2 c),wc 是微通道的宽度。通过改变两相流量, 磁流体液滴的生成可以划分为 3 种类型[21]:弹状流、 滴状流和喷射流,如图 3 所示。
在不存在磁场时,当连续相流量较小时,分散 相进入到聚焦通道交叉口处,由于连续相产生的剪 切力不足以夹断分散相,分散相在下游主通道前进, 堵塞下游通道,进而分散相受到上游连续相内累积 的挤压作用,逐渐夹断形成弹状流。生成的液滴为 头部呈子弹形,长度大于微通道宽度的弹状液滴, 如图 3(a)所示。当连续相流量逐渐增大时,连续相 产生的剪切力能够夹断分散相流体,形成滴状流。生成的液滴近似为球形,其直径小于微通道宽度, 如图 3(b)所示。当连续相流量远大于分散相流量时,分散相细丝的径向宽度变小,在轴向上被拉伸进入到交叉口下游微通道内,由于毛细不稳定断裂生成液滴,形成喷射流,如图 3(c)所示。与不存在磁场 时的情况类似,存在磁场时,观察到了弹状流、滴 状流和喷射流 3 种流型。值得注意的是,外部磁场 的加入使磁流体液滴的头部和尾部界面形状发生明 显变化(磁致形变),如图 3(a)、(b)的(Ⅹ)中液滴刚 刚断裂时的红色形变界面所示,存在磁场时,液滴 界面形状变化更为严重,夹断后的分散相主体前端 形成了近似三角形状的尖端并且向下游移动的距离 大,同样,夹断的液滴尾部形状也近似为三角形, 这反映了磁场对液滴生成行为的影响。
图 4 给出了有无磁场时磁流体液滴生成的流 型。不存在磁场时,流型图的横纵坐标分别为连续 相毛细数 Cac与分散相 Weber 数 Wed [22-24]。存在磁 场时,磁 Bond 数 Bom(磁场力与界面张力之比) 的范围是 32.6 < Bom < 477.6,Wed(惯性力与界面 张力之比)的范围是 5.53×10?5 < Wed < 3.54×10?3 , Bom 与 Wed 之比表示磁场力与惯性力的相对大小, 其比值远远大于 1,即与磁场力相比,惯性力可忽 略,因此将 Bom作为磁场存在时的流型图的纵坐标。 不存在磁场时,当连续相毛细数 Cac 较小时,形成 弹状流;随着 Cac 的逐渐增大,开始出现滴状流; 当 Cac和 Wed 较大时,出现喷射流。弹状流与滴状 流之间的转变线方程为
图 4 流型图及流型转变线
在研究条件范围内,弹状流和滴状流的区域较 大,且是微通道内液液两相流中普遍存在的流型, 因此,本文将主要研究弹状流和滴状流的生成动力 学及其尺寸规律。
2.2 磁流体液滴生成动力学
图 3(a)显示了弹状液滴的生成过程。将磁流体 细丝被夹断的时刻定义为初始零时刻。液滴生成过 程可以分为膨胀阶段、挤压阶段和快速夹断阶段[25]。 在上一个生成的液滴夹断之后,由于表面张力的作 用,分散相主体前端回缩并伴随着径向上的膨胀。 随后,分散相细丝在径向上膨胀,在轴向上拉伸, 此时颈部宽度大于微通道宽度并缓慢增加至最大颈部宽度,这个阶段为膨胀阶段。在挤压阶段,分散 相在两侧连续相流体的挤压作用下形成一个可见的 颈部,在轴向上向下游通道拉伸,在径向上挤压, 此时分散相头部完全阻塞下游微通道。最后,颈部 宽度以较快的速度逐渐减小直至颈部断裂,生成一 个新的液滴,该阶段为快速夹断阶段。
图 3(b)显示了滴状液滴的生成过程。与弹状液滴生成过程有所区别,在上一个液滴夹断之后,分 散相主体前端有少量回缩,但径向上的膨胀不明显。 过程中形成的初始颈部宽度远小于通道宽度,分散 相头部不能完全阻塞下游微通道,存在可见空隙, 连续相流体可在该空隙中流动。颈部逐渐变细,最 终断裂生成一个新的液滴。
为了便于分析,首先定义液滴生成过程中涉 及的一些物理参数,如图 1(b)所示。在图 1(b)中, wm 为液滴颈部最小宽度,l 为破裂过程中分散相 头部的长度,wc 为通道宽度。图 3 中,L 为生成液滴长度。以上物理量均除以通道宽度 wc 作量纲 1 处理。
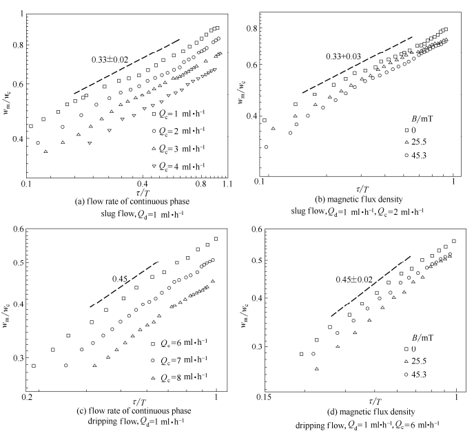
弹状液滴和滴状液滴生成过程的机理可以通 过颈部开始形成后的颈部最小宽度的演变规律进行分析。将相邻两个液滴断裂时刻之间的时间段定 义为液滴的生成周期 T,t 为生成过程中的某一时 刻,剩余时间 τ = T?t。图 5(a)、(b)为弹状液滴生成 过程中挤压阶段颈部最小宽度随剩余时间的变化规 律,图 5(c)、(d)为滴状液滴生成过程中挤压阶段颈 部最小宽度随剩余时间的变化规律。由图 5 可看出, 两个过程中挤压阶段的颈部变化规律可表示为 wm/wc∝(τ/T)α,但是幂律指数α不同,这是由于两 个过程的破裂机理有所区别:弹状液滴生成过程为 对称破裂过程,滴状液滴生成过程为非对称过程[27]。 其中,弹状液滴的幂律指数α ≈ 0.33,滴状液滴的幂 律指数α ≈ 0.45,并且幂律指数α几乎不受连续相流 量 Qc 和磁感应强度 B 的影响。弹状液滴的幂律规律与 Hoeve 等[28]的结果相同,说明挤压阶段液滴的 颈部变化过程与气泡的颈部变化过程相同,均可 以由“充满效应”来解释,即颈部处的分散相流 体逐渐被其周围与通道壁面间空隙内的连续相流 体所取代。
图 5 不同因素对液滴颈部宽度随剩余时间变化的影响
2.3 磁流体液滴尺寸影响因素
本文实验考察了分散相流量 Qd、连续相流量 Qc、两相流量比 Qc/Qd、连续相毛细数 Cac和磁感应 强度 B 对生成磁流体液滴尺寸 L/wc的影响。图 6 给 出了不同影响因素对液滴尺寸的影响。由图 6(a)可 得,当分散相流量不变时,液滴尺寸随着两相流量 比 Qc/Qd 的增大而减小;当两相流量比 Qc/Qd 不变 时,液滴尺寸随着连续相流量的增大而减小。由图 6(b)可得,当分散相流量不变时,液滴尺寸随着连 续相毛细数 Cac的增大而减??;当连续相毛细数 Cac 不变时,液滴尺寸随着分散相流量的增大而增大。 这是由于分散相是在连续相的挤压力作用下夹断生 成液滴,当连续相流量增大时,挤压力增大,分散 相更易被夹断,因此液滴的长度会减小。
图 6 不同因素对液滴长度的影响
图 7 给出了生成过程中不同流量下分散相头部 长度 l/wc的演变情况。由图 7 可得,分散相头部长 度经历了先减小再增大的过程。分散相头部长度减 小对应的是回缩过程;分散相头部长度增大可以分 为两个阶段,第 1 阶段增加缓慢,第 2 阶段以较大 的速率线性增加且增加速率随着连续相流量的增大 而减小。这与生成液滴长度 L/wc的结果一致。
图 7 不同流量对分散相头部长度的影响
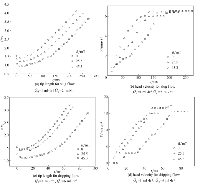
图 8 给出了生成过程中不同磁感应强度下分散 相头部长度 l/wc以及头部速度 V 随时间 t 的变化。 由图 8(a)、(c)可知,存在磁场时的弹状流和滴状流 的分散相头部变化趋势与不存在磁场时的变化趋势 相似,均经历了先减小后增大的过程。不同的是, 初始时刻的分散相头部长度随着磁感应强度的增大 而增加。分散相头部速度随着磁感应强度的增加而 增大,最终趋于一定值。值得注意的是,虽然存在 磁场时的头部速度大,但生成周期会缩短,导致了 存在磁场时的生成液滴尺寸会减小。这反映了磁场 对液滴生成过程的影响,该结果与 Tan 等[16]观察到 的现象相同,当磁场方向与分散相进口方向垂直时, 磁流体液滴的尺寸随着磁感应强度的增加而减少。
目前,关于液滴的生成机理主要有两种:剪切 机理和挤压机理。Thorsen 等[29]提出了黏性力主导 的剪切机理,液滴尺寸与连续相毛细数有关。 Garstecki 等[30]提出当毛细数较小时,液滴生成主要 受连续相挤压力控制的挤压机理,液滴尺寸仅与两 相流量比有关,得到了尺度规律:L/wc = 1 + aQd/Qc, 其中 a 是与通道几何尺寸有关的常数?;谝陨狭?种机理,本文采用两相流量比、连续相毛细数和磁 Bond 数对磁流体液滴的尺寸进行拟合,得到了有无 磁场时液滴尺寸的关联式
拟合方程式(4)得到的预测值与实验值的比较 如图 9 所示,其平均相对误差为 10.34%和 9.93%,预测效果良好。
图 8 不同磁感应强度对分散相头部长度及瞬时速度的影响
图 9 液滴长度的计算值与实验值比较
3 结 论
利用高速摄像仪对Y聚焦型微通道内磁流体液 滴在矿物油中的生成过程进行了研究。观察到了弹 状流、滴状流和喷射流 3 种流型,研究了弹状液滴 和滴状液滴生成过程的颈部动力学,在挤压阶段分 散相的颈部最小宽度随剩余时间呈幂律关系: wm/wc∝(τ/T)α,弹状液滴的α ≈ 0.33,滴状液滴的α ≈ 0.45,且不随连续相流量和磁感应强度的变化而改 变。考察了两相流量及其磁感应强度对液滴分散相 头部长度及其最终尺寸的影响,结果表明,液滴尺寸随着连续相流量、连续相毛细数和两相流量比的增加而减小。分散相头部长度经历了先减小后增加的过程,最终分散相头部随着连续相流量和磁感应强度的增加而减小,头部速度随着连续相的增加而减小,随着磁感应强度的增加而增大?;?a href="http://m.lysenter.cn/wyd/" target="_blank" title="微流控芯片|微流控芯片批量加工">液滴的生成机理,综合考虑两相流量比、连续相毛细数和磁Bond数的影响,提出了液滴尺寸的预测关联式,该式具有良好的预测性能。
文献来源化工学报 DOI:10.11949/j.issn.0438-1157.20170938 作者:马蕊,付涛涛等(转载仅供参考学习及传递有用信息,版权归原作者所有,如侵犯权益,请联系删除)
- 上一条对准工作原理
- 下一条即时检测试纸内渗流理论及流动控制(下)
